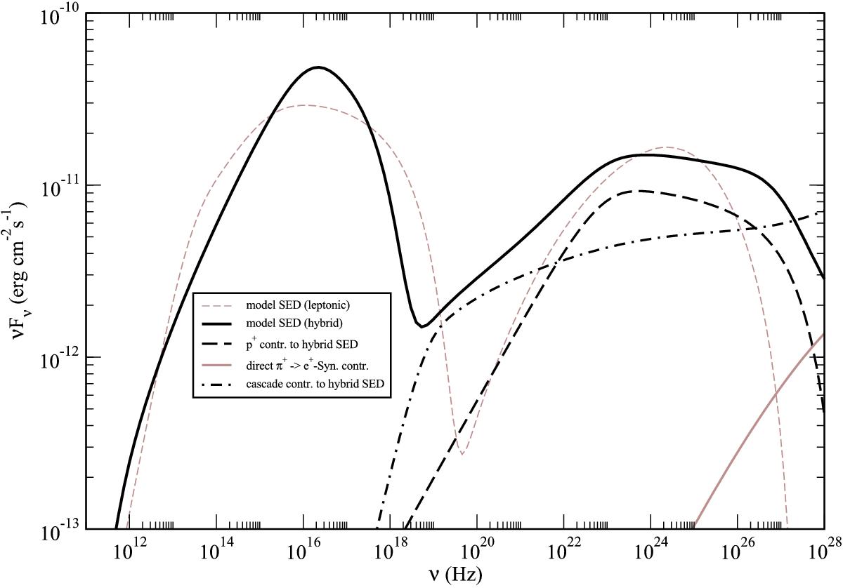
Fig. 4

Intrinsic SEDs (unaffected by EBL absorption) of 1 ES 1011+496 (Fig. 3) as inferred by the model, parameters in Table 1. The solid black line shows the hybrid SED with the individual components: proton synchrotron emission (dashed black line) and redistributed synchrotron emission by e±-pairs initiated by photo-hadronic interactions (dash-dotted black line) only observable through pair-cascades. The direct contribution of stable end-products from photo-pion production are negligible in the observable regime peaking above 1027 Hz opaque to γγ-pair-production, see solid brown line (π+ → e+; other processes are below 10-13 erg cm-2 s-1) and only affect the SED indirectly via γγ-pair-production of the nth generation.
Current usage metrics show cumulative count of Article Views (full-text article views including HTML views, PDF and ePub downloads, according to the available data) and Abstracts Views on Vision4Press platform.
Data correspond to usage on the plateform after 2015. The current usage metrics is available 48-96 hours after online publication and is updated daily on week days.
Initial download of the metrics may take a while.