Free Access
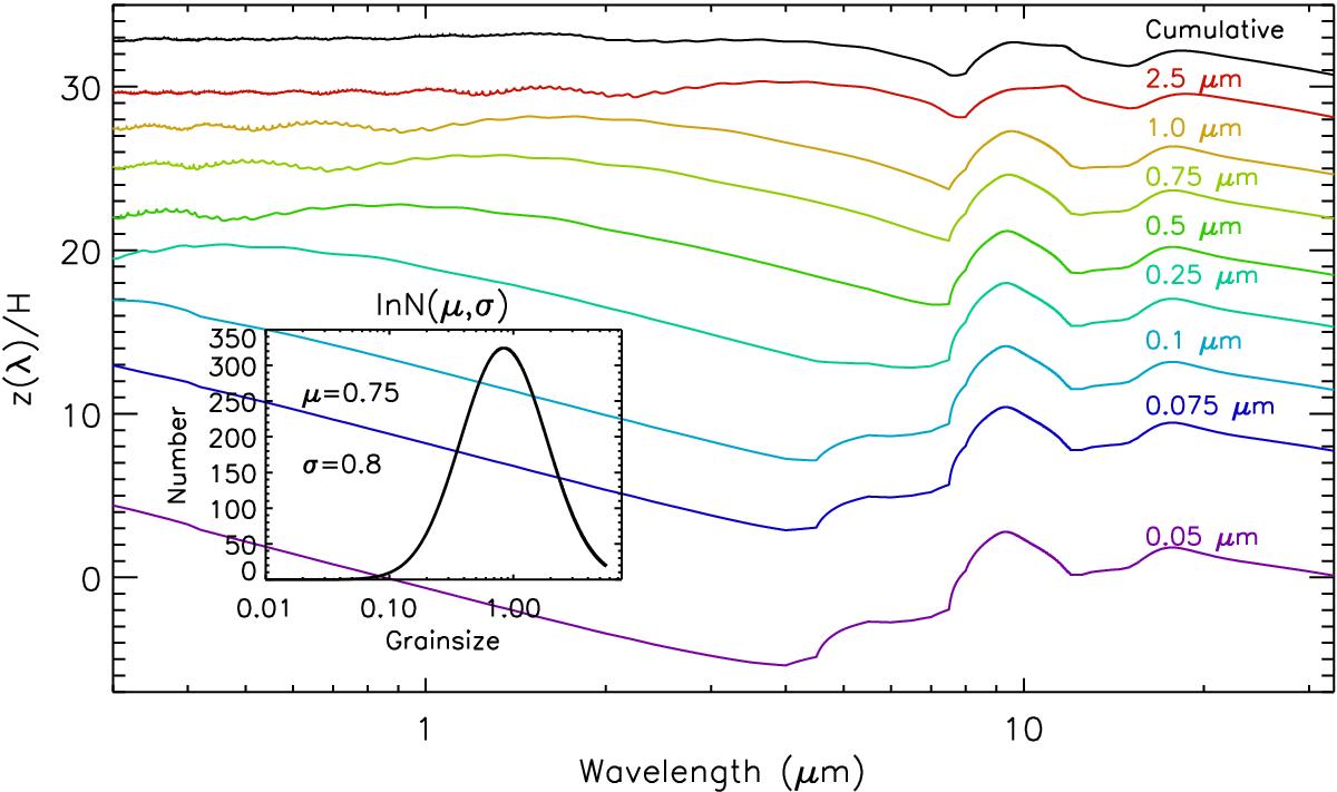
Fig. 5

Cumulative transmission spectrum of a log-normal distribution centered at 0.75 μm with a width of 0.8 showing each of the individual spectra contributing to the final transmission spectra of the cloud. The sub-plot shows the distribution used for this cloud with the x-axis on a log scale.
Current usage metrics show cumulative count of Article Views (full-text article views including HTML views, PDF and ePub downloads, according to the available data) and Abstracts Views on Vision4Press platform.
Data correspond to usage on the plateform after 2015. The current usage metrics is available 48-96 hours after online publication and is updated daily on week days.
Initial download of the metrics may take a while.