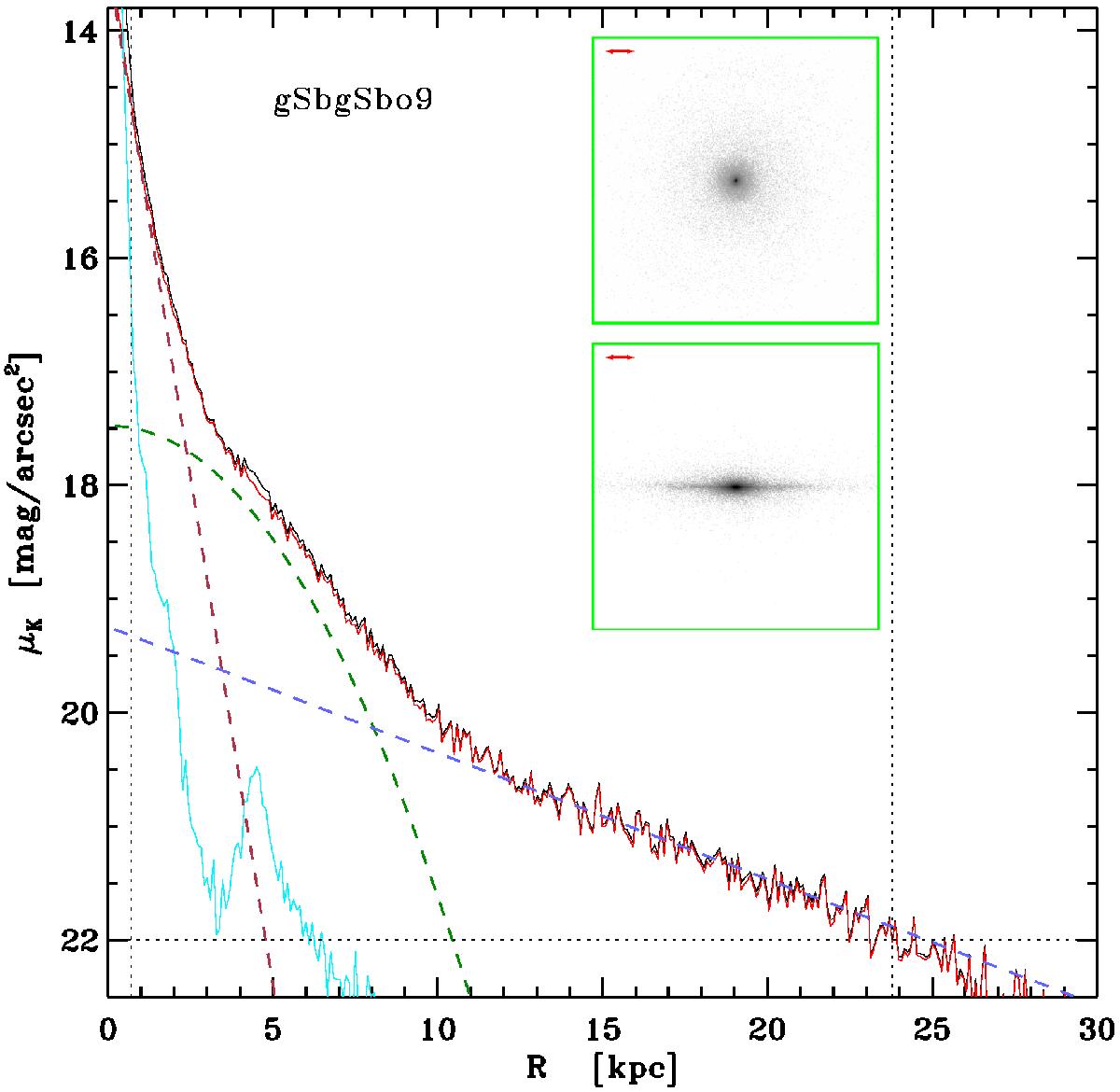
Fig. 10

Bulge-lense-disc decomposition performed to an S0-like remnant with an n ~ 1 bulge (model gSbgSbo9). Solid black line: total surface brightness profile in the K band. Red solid line: contribution of the old stars to the total profile. Light blue solid line: contribution of the young stars to the total profile. Red dashed line: fitted bulge (n ~ 1.0). Green dashed line: fitted lense component. Blue dashed line: fitted disc. We have overplotted the limiting magnitude and the minimum and maximum radii considered in the decomposition (dotted straight lines). The subframes of each panel show the artificial K-band images of the remnant for face-on and edge-on views, using a logarithmic greyscale to highlight the substructures at the centre (in particular, the flattened, disc-shaped bulge). The field of view is 50 kpc×50 kpc. (A colour version is available in the electronic edition.)
Current usage metrics show cumulative count of Article Views (full-text article views including HTML views, PDF and ePub downloads, according to the available data) and Abstracts Views on Vision4Press platform.
Data correspond to usage on the plateform after 2015. The current usage metrics is available 48-96 hours after online publication and is updated daily on week days.
Initial download of the metrics may take a while.