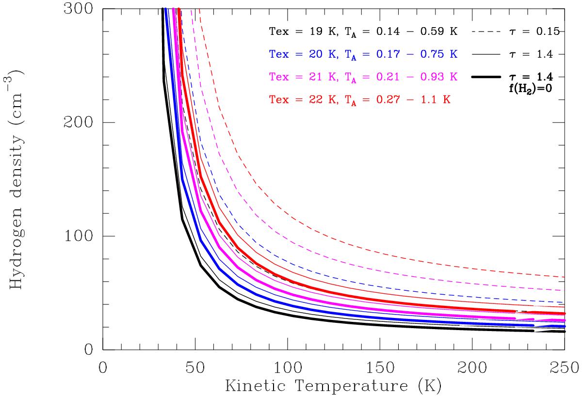
Fig. 8

Contours of constant excitation temperature of the [C ii] transition in the diffuse neutral medium with values typical of those deduced here (indicated at the top of the figure). The dashed lines show the results for an optically thin line (τ = 0.15), while the solid lines are for a mildly optically thick line (τ = 1.4). For curves with normal weight lines, n(HI) = n(H2), while the results for a pure atomic medium are given in bold lines; we see that the form of hydrogen makes little difference in terms of [C ii] excitation.
Current usage metrics show cumulative count of Article Views (full-text article views including HTML views, PDF and ePub downloads, according to the available data) and Abstracts Views on Vision4Press platform.
Data correspond to usage on the plateform after 2015. The current usage metrics is available 48-96 hours after online publication and is updated daily on week days.
Initial download of the metrics may take a while.