Free Access

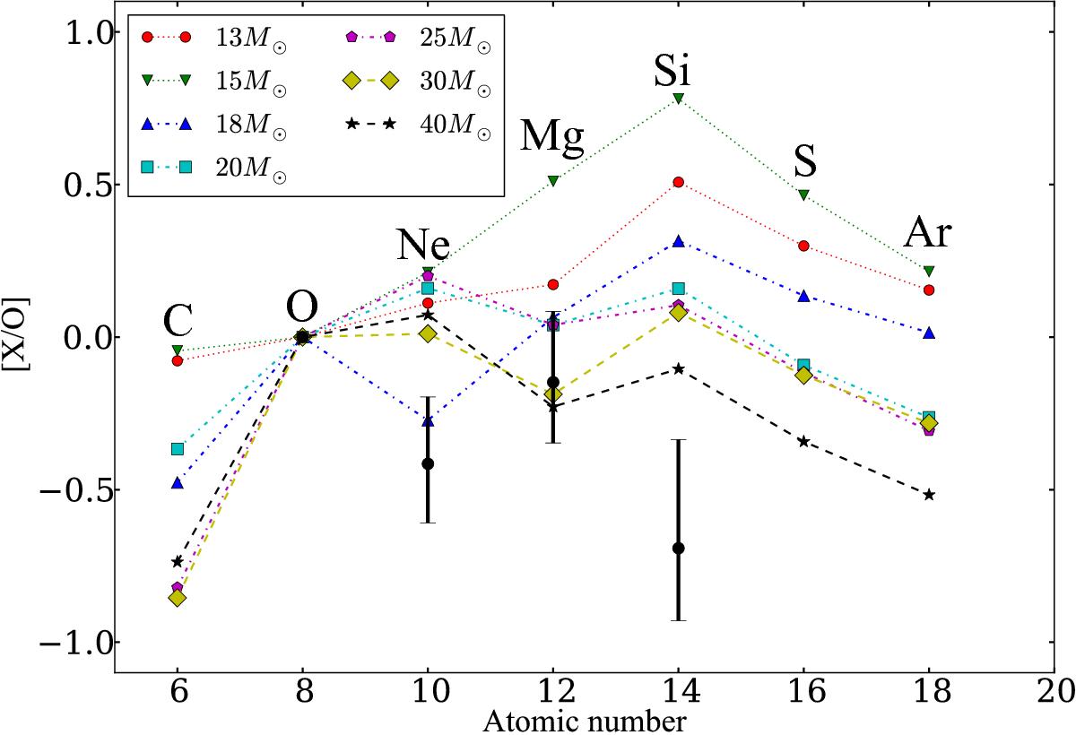
Fig. 10

image

Abundance ratios of metals to O in the ejecta, relative to the corresponding solar ratios. MCSNR J05366913 data are in black. Theoretical yields for various progenitor masses determined from the Yields Table 2013 (see also Nomoto et al. 2013) are also included. Error bars are calculated from 90% confidence intervals of fit parameters.

Current usage metrics show cumulative count of Article Views (full-text article views including HTML views, PDF and ePub downloads, according to the available data) and Abstracts Views on Vision4Press platform.

Data correspond to usage on the plateform after 2015. The current usage metrics is available 48-96 hours after online publication and is updated daily on week days.

Initial download of the metrics may take a while.