Free Access
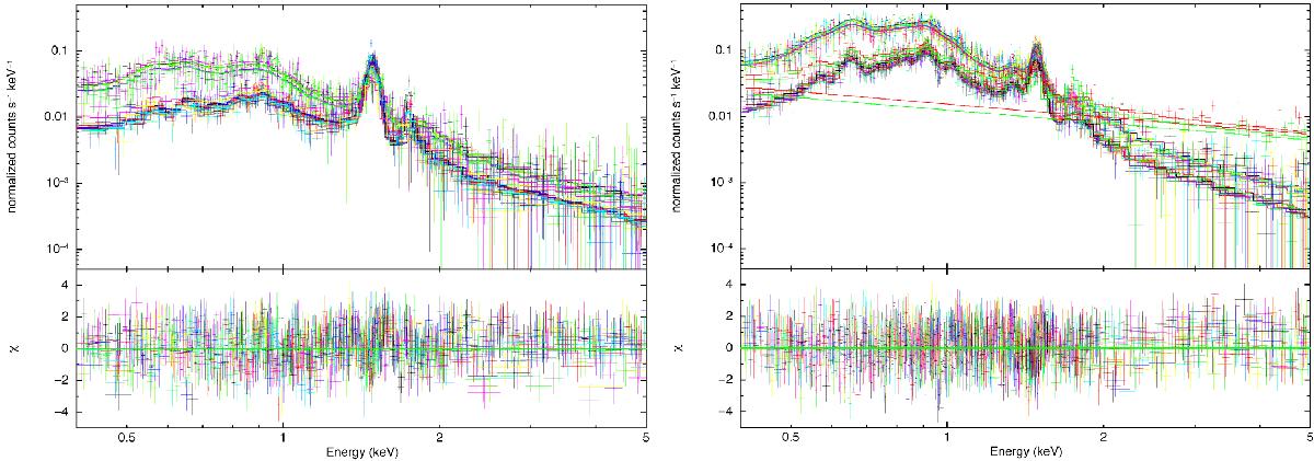
Fig. 3

Left: simultaneous spectral fits to the EPIC BG-W spectra. Right: same as left for BG-E. The green and red straight lines represent the residual SP contamination in Obs. ID 0113020201, in which only the EPIC-MOS1 and EPIC-MOS2 cameras were on.
Current usage metrics show cumulative count of Article Views (full-text article views including HTML views, PDF and ePub downloads, according to the available data) and Abstracts Views on Vision4Press platform.
Data correspond to usage on the plateform after 2015. The current usage metrics is available 48-96 hours after online publication and is updated daily on week days.
Initial download of the metrics may take a while.