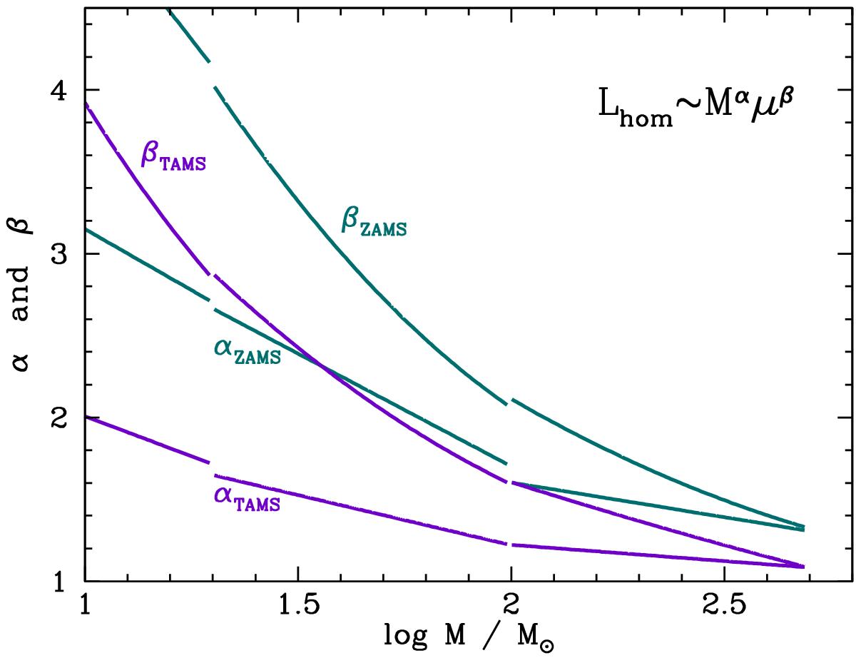
Fig. 17

Exponents of the mass-luminosity relation of the form L ~ Mαμβ for homogeneous stars from Gräfener et al. (2011), for a chemical composition corresponding to our ZAMS models (labelled with the subscript ZAMS), and for pure helium stars of the corresponding metallicity (labelled with the subscript TAMS). Here, μ is the mean molecular weight of the stellar gas, which is computed as 1 /μ = 2X + 0.75Y + 0.5Z, with X, Y, and Z being the hydrogen, helium, and metal mass fraction, and assuming complete ionization.
Current usage metrics show cumulative count of Article Views (full-text article views including HTML views, PDF and ePub downloads, according to the available data) and Abstracts Views on Vision4Press platform.
Data correspond to usage on the plateform after 2015. The current usage metrics is available 48-96 hours after online publication and is updated daily on week days.
Initial download of the metrics may take a while.