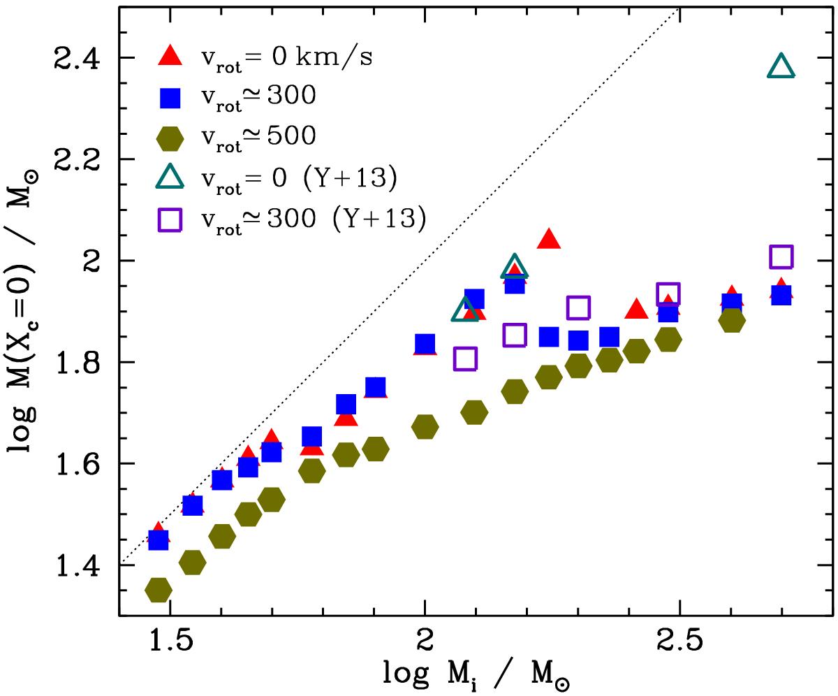
Fig. 21

Stellar mass at the end of core hydrogen burning versus initial mass for our sequences with initial rotational velocities of vrot,i ≃ 0 km s-1, 300 km s-1, and 500 km s-1 (filled symbols). The open symbols correspond to the LMC models of Yusof et al. (2013) with and without rotation. The dotted straight line corresponds to the location where the stellar mass at the end of core hydrogen burning equals the initial mass, i.e. to negligible mass loss.
Current usage metrics show cumulative count of Article Views (full-text article views including HTML views, PDF and ePub downloads, according to the available data) and Abstracts Views on Vision4Press platform.
Data correspond to usage on the plateform after 2015. The current usage metrics is available 48-96 hours after online publication and is updated daily on week days.
Initial download of the metrics may take a while.