Free Access
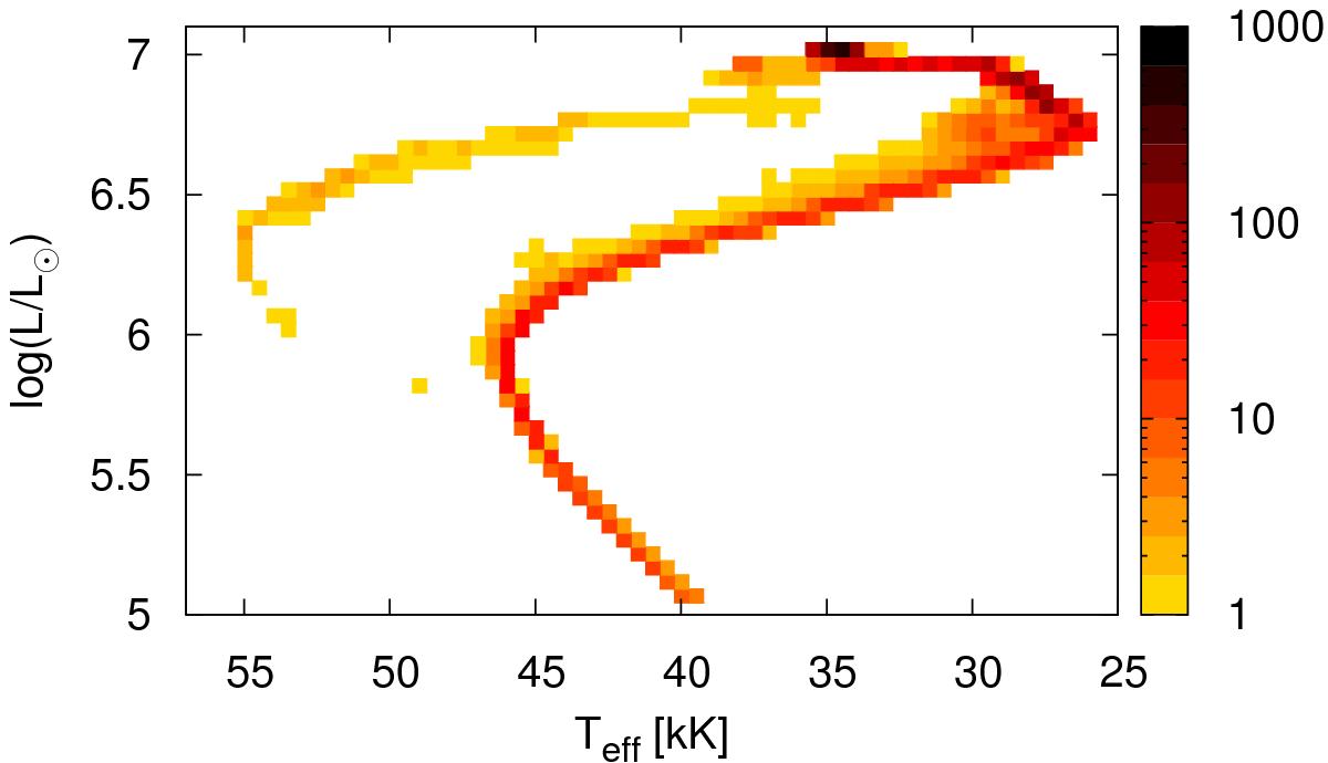
Fig. A.4

starmaker population-synthesis calculation for 1.5 Myr (and other parameters as explained in Table A.1). The luminosity is depicted as a function of the effective temperature. The colour coding explained at the right bar indicates the number of stars within one pixel of 500 K and log (L/L⊙) = 0.05.
Current usage metrics show cumulative count of Article Views (full-text article views including HTML views, PDF and ePub downloads, according to the available data) and Abstracts Views on Vision4Press platform.
Data correspond to usage on the plateform after 2015. The current usage metrics is available 48-96 hours after online publication and is updated daily on week days.
Initial download of the metrics may take a while.