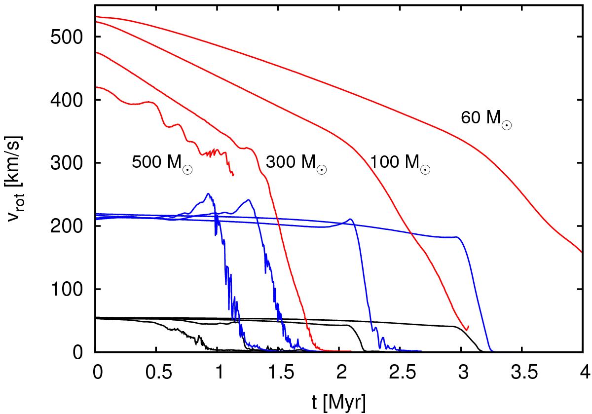
Fig. 6

Surface rotational velocity as a function of time for stellar model sequences with four different initial masses (as indicated), and for three initial surface rotational velocities. The rapid decrease in rotation rate seen for νi ≃ 50,200 km s-1 is caused by the enhanced mass loss at the bi-stability jump, whereas the steep decline of the rotation velocity for the fast rotators (νi ≃ 500 km s-1) is a consequence of Wolf-Rayet type mass loss.
Current usage metrics show cumulative count of Article Views (full-text article views including HTML views, PDF and ePub downloads, according to the available data) and Abstracts Views on Vision4Press platform.
Data correspond to usage on the plateform after 2015. The current usage metrics is available 48-96 hours after online publication and is updated daily on week days.
Initial download of the metrics may take a while.