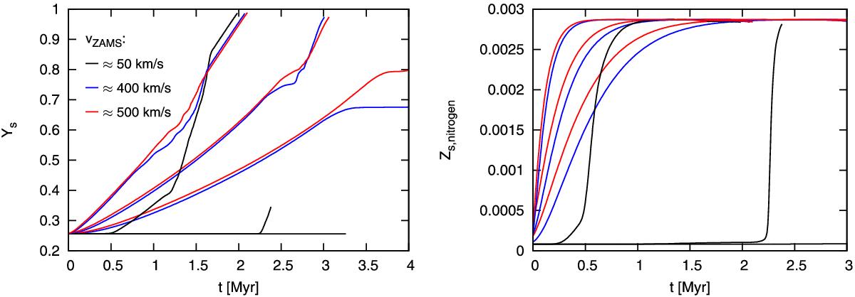
Fig. 8

Helium (left panel) and nitrogen (right panel) surface mass fraction as a function of time for models of 60, 100, and 300 M⊙ and rotation rates explained in the figure key. While for the fast rotators the enhancements are mostly due to rotational mixing, for the slowly rotating models the increase in helium and nitrogen in the 100 M⊙ and 300 M⊙ mass models is solely due to mass loss.
Current usage metrics show cumulative count of Article Views (full-text article views including HTML views, PDF and ePub downloads, according to the available data) and Abstracts Views on Vision4Press platform.
Data correspond to usage on the plateform after 2015. The current usage metrics is available 48-96 hours after online publication and is updated daily on week days.
Initial download of the metrics may take a while.