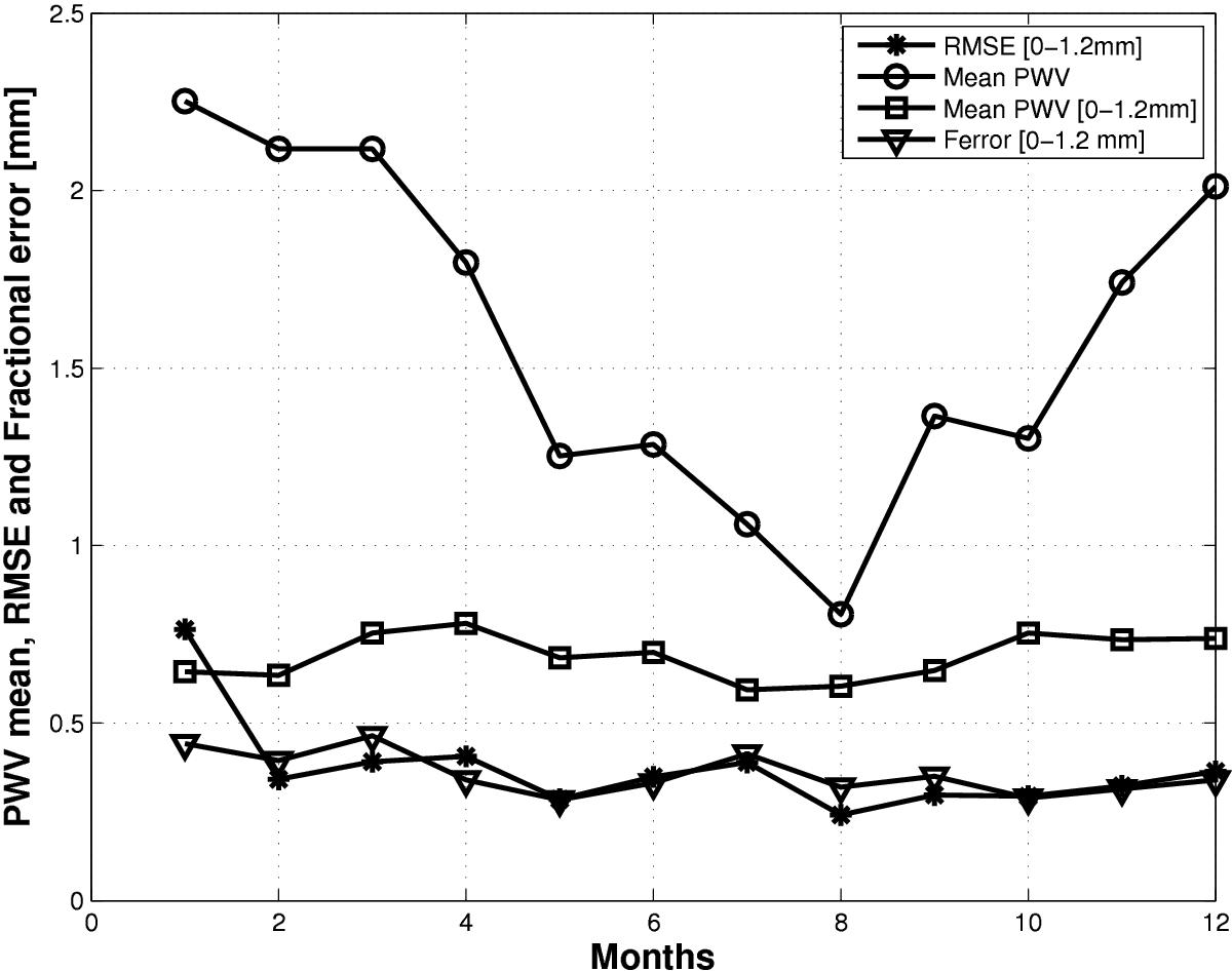
Fig. 6

Time evolution of monthly mean PWV from the APEX radiometer using all values (open circles) and only the values below 1.2 mm (squares) averaged over 2007 and 2009. The RMSE and the mean absolute fractional error between the PWV_GF and the PWV_A for the range 0–1.2 mm are shown in black stars and triangles, for both years, respectively. The RMSE and fractional error values for December are just for 2007 since GOES radiation data for that month were not available in 2009.
Current usage metrics show cumulative count of Article Views (full-text article views including HTML views, PDF and ePub downloads, according to the available data) and Abstracts Views on Vision4Press platform.
Data correspond to usage on the plateform after 2015. The current usage metrics is available 48-96 hours after online publication and is updated daily on week days.
Initial download of the metrics may take a while.