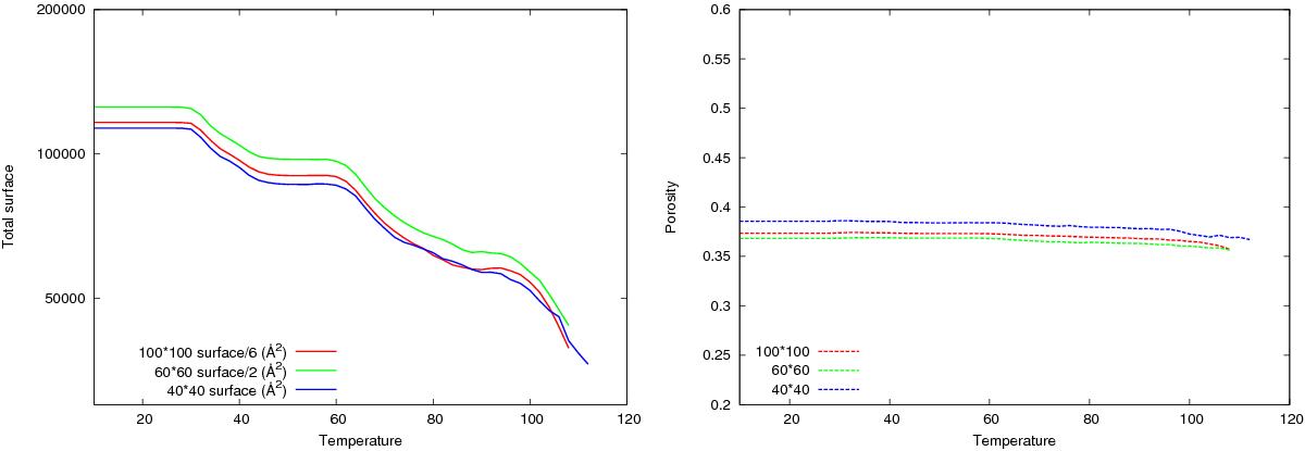
Fig. 6

Total surface area constituted by the pores (left panel) and porosity (right panel) as a function of temperature for different grid sizes 100×100, 60×60, and 40×40. We define the porosity as a volume fraction (pore volume/total volume). Note that the total surface is scaled (divided by 4 and 2 for a 100×100 and a 60×60 grid, respectively) to allow for a comparison.
Current usage metrics show cumulative count of Article Views (full-text article views including HTML views, PDF and ePub downloads, according to the available data) and Abstracts Views on Vision4Press platform.
Data correspond to usage on the plateform after 2015. The current usage metrics is available 48-96 hours after online publication and is updated daily on week days.
Initial download of the metrics may take a while.