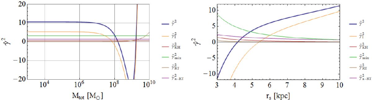
Fig. 5

(Left panel) The instability parameter as a function of the mass of the dwarf galaxy orbiting in a MW external environmental model (see text for details). (Right panel) Instability parameter as a function of the size for a stable mass chosen in the left panel, M = 108M⊙. The different thin lines and colours refer to the different components contributing to the global instability parameter (thick blue line).
Current usage metrics show cumulative count of Article Views (full-text article views including HTML views, PDF and ePub downloads, according to the available data) and Abstracts Views on Vision4Press platform.
Data correspond to usage on the plateform after 2015. The current usage metrics is available 48-96 hours after online publication and is updated daily on week days.
Initial download of the metrics may take a while.