Free Access
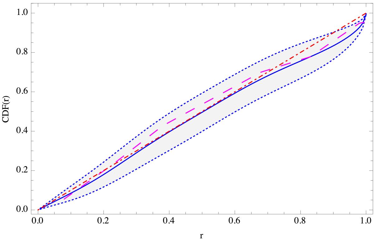
Fig. 1

Estimated CDF using our method plotted as a solid line. The short-dashed lines show the 95% confidence interval. The CDF using the method of Lucy (1974) as adopted by Boffin (2010) is shown as the long-dashed line, while the theoretical CDF from a uniform distribution is plotted as a dot-dashed line. See text for details.
Current usage metrics show cumulative count of Article Views (full-text article views including HTML views, PDF and ePub downloads, according to the available data) and Abstracts Views on Vision4Press platform.
Data correspond to usage on the plateform after 2015. The current usage metrics is available 48-96 hours after online publication and is updated daily on week days.
Initial download of the metrics may take a while.