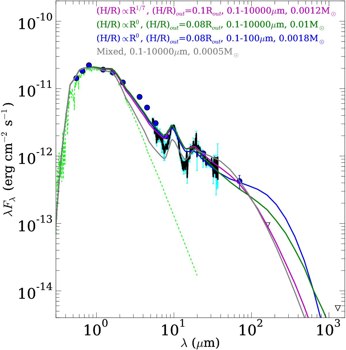
Fig. 9

Comparison of radiative transfer models for the disk of 01-580, the only accreting star in NGC 7160. Blue dots mark the data (errors are often smaller than the dots). Inverted triangles are upper limits. The dashed line is a MARCS photospheric model (Gustafsson et al. 2008). The colour lines show models with different vertical structures (flaring laws H/R, outer disk thickness), grain size distributions, and disk masses. The model labelled “Mixed” includes well-mixed dust and gas. Even if the disk is assumed to be very settled, substantial mass depletion is required to fit the 160 μm upper limit.
Current usage metrics show cumulative count of Article Views (full-text article views including HTML views, PDF and ePub downloads, according to the available data) and Abstracts Views on Vision4Press platform.
Data correspond to usage on the plateform after 2015. The current usage metrics is available 48-96 hours after online publication and is updated daily on week days.
Initial download of the metrics may take a while.