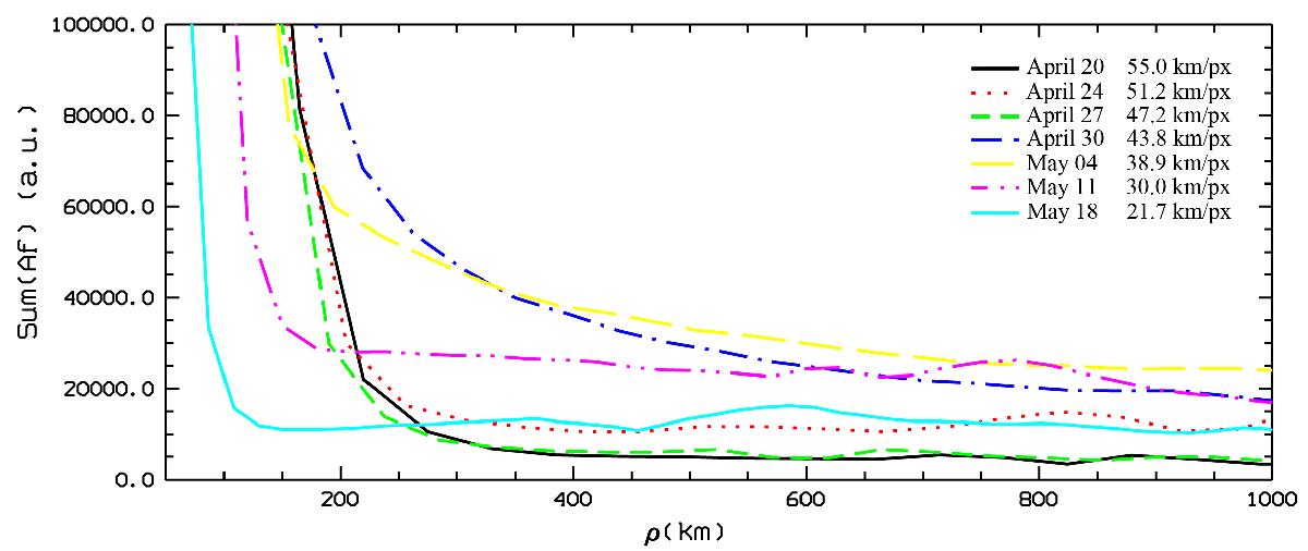
Fig. 6

ΣAf vs. ρ for NAC orange images of 67P/Churyumov-Gerasimenko obtained on April 20: black line (55 km/pix), April 24: red line (51.2 km/pix), April 27: green line (47.2 km/pix), April 30: blue line (43.8 km/pix), May 4: yellow line (38.9 km/pix), May 11: magenta line (30 km/pix), and May 18: cyan line (21.7 km/pix). For each observation, the pixel scale (in km per pixel at the comet distance) is indicated. The x-axis is in km and for each date, the spacecraft-comet distance is taken into account to convert pixel to km, whereas the y-axis is in arbitrary units.
Current usage metrics show cumulative count of Article Views (full-text article views including HTML views, PDF and ePub downloads, according to the available data) and Abstracts Views on Vision4Press platform.
Data correspond to usage on the plateform after 2015. The current usage metrics is available 48-96 hours after online publication and is updated daily on week days.
Initial download of the metrics may take a while.