Fig. 4

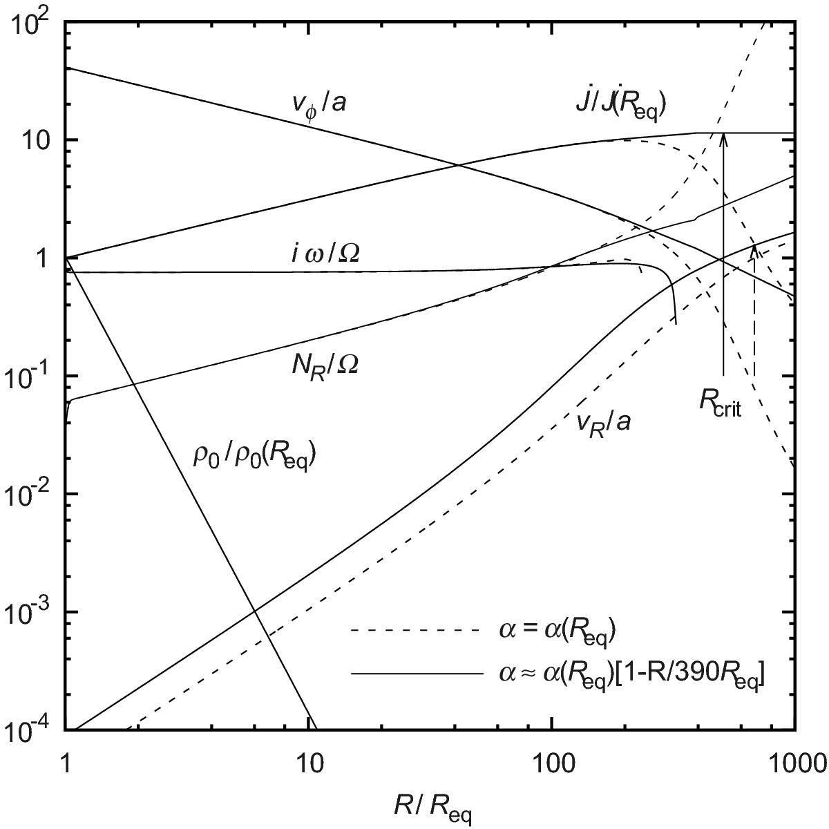
Final stationary state of time-dependent disk models with constant and variable viscosity parameter α. We plot the same variables as in the stationary model in Fig. 1. In the constant-viscosity model (dashed line) the viscosity parameter α = α(Req), while in the decreasing-viscosity model (solid line) the parameter α = α(Req)[ (391 Req − R) / (390 Req) ] below R = 390 Req and α = α(Req) / 390 elsewhere. The inner boundary viscosity parameter α(Req) = 0.1. We consider the isothermal disk of the main-sequence B2–B3 type star (see Sect. 3). Arrows denote the locations of the critical points.
Current usage metrics show cumulative count of Article Views (full-text article views including HTML views, PDF and ePub downloads, according to the available data) and Abstracts Views on Vision4Press platform.
Data correspond to usage on the plateform after 2015. The current usage metrics is available 48-96 hours after online publication and is updated daily on week days.
Initial download of the metrics may take a while.