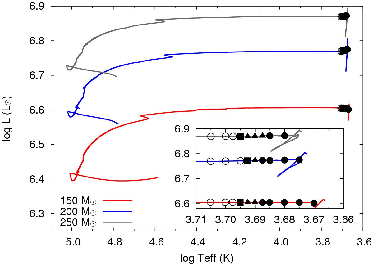
Fig. 2

Evolution of our PISN progenitor models in the HR diagram. Those models marked with the symbols are used to examin their pulsational properties. We do not find unstable pulsations in models marked by open circles. The models indicated with squares have the pulsational pattern A, those with triangles have the pattern B, and those with filled squares have the pattern C. See Fig. 4 for the definitions of the patterns.
Current usage metrics show cumulative count of Article Views (full-text article views including HTML views, PDF and ePub downloads, according to the available data) and Abstracts Views on Vision4Press platform.
Data correspond to usage on the plateform after 2015. The current usage metrics is available 48-96 hours after online publication and is updated daily on week days.
Initial download of the metrics may take a while.