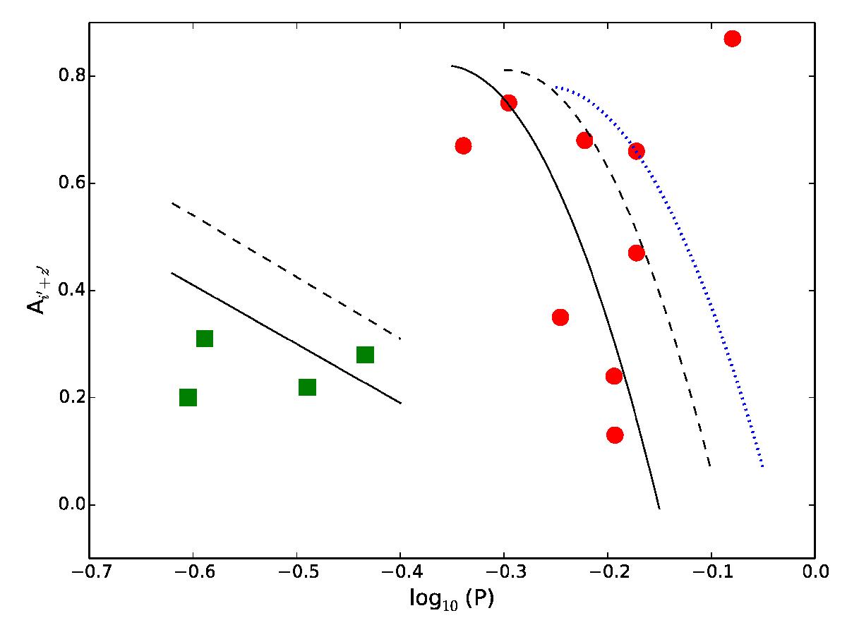
Fig. 23

Bailey diagram of NGC 6638 for I amplitudes, with RR0 and RR1 stars plotted as red circles and green squares, respectively. The black solid and dashed lines are the Oo I and Oo II loci, respectively, as calculated by Kunder et al. (2013) for I-band. The blue dotted line is the locus found by Arellano Ferro et al. (2011, 2013a) for the two Oo II clusters NGC 5024 and NGC 6333, respectively.
Current usage metrics show cumulative count of Article Views (full-text article views including HTML views, PDF and ePub downloads, according to the available data) and Abstracts Views on Vision4Press platform.
Data correspond to usage on the plateform after 2015. The current usage metrics is available 48-96 hours after online publication and is updated daily on week days.
Initial download of the metrics may take a while.