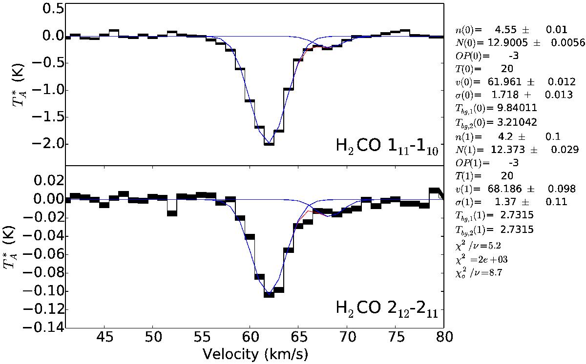
Fig. B.1

Spectrum extracted from G49.119-0.277 in a 55′′ radius aperture, showing a model in which the continuum is behind the 63 km s-1 component but in front of the 68 km s-1 component. The legend gives the fit parameters along with 1σ error bars. The parameters with no errors indicated (OPR, T, TBG) are assumed or independently measured values.
Current usage metrics show cumulative count of Article Views (full-text article views including HTML views, PDF and ePub downloads, according to the available data) and Abstracts Views on Vision4Press platform.
Data correspond to usage on the plateform after 2015. The current usage metrics is available 48-96 hours after online publication and is updated daily on week days.
Initial download of the metrics may take a while.