Free Access
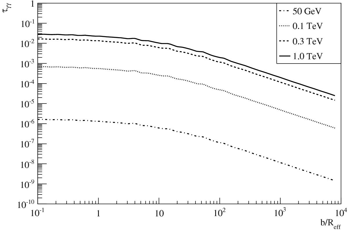
Fig. 1

γ-γ optical depth of a radiation field of a companion galaxy as a function of the impact parameter b presented for different γ-ray energies, assuming the galaxy is located at the same distance. The parameters of the galaxy are assumed to be Reff = 1 kpc, L = LMW, and T = 5000 K.
Current usage metrics show cumulative count of Article Views (full-text article views including HTML views, PDF and ePub downloads, according to the available data) and Abstracts Views on Vision4Press platform.
Data correspond to usage on the plateform after 2015. The current usage metrics is available 48-96 hours after online publication and is updated daily on week days.
Initial download of the metrics may take a while.