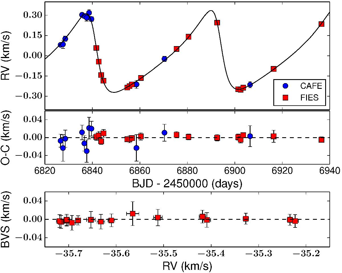
Fig. 1

Radial velocity measurements of Kepler-432. Upper panel: CAFE (blue circles) and FIES (red squares) RVs, and Keplerian fit to the data (black solid line) – including the linear RV trend. Middle panel: RV residuals. The rms is ~17 m/s and ~5 m/s for the CAFE and FIES data, respectively. The observed rms of the FIES RVs is consistent with the expected value of ~ 6 m/s for a star with log g = 3.35 dex (Hekker et al. 2008; Nowak 2013). Quadratically adding a jitter of 6 m/s to our formal RV measurement errors does not change the derived orbital parameters significantly (<1σ). Additionally, a fit to the FIES data alone yields consistent results within 1σ. Lower panel: bisector velocity spans (BVS) of the FIES CCF versus RVs, assuming that the error bars of the former are twice those of the latter.
Current usage metrics show cumulative count of Article Views (full-text article views including HTML views, PDF and ePub downloads, according to the available data) and Abstracts Views on Vision4Press platform.
Data correspond to usage on the plateform after 2015. The current usage metrics is available 48-96 hours after online publication and is updated daily on week days.
Initial download of the metrics may take a while.