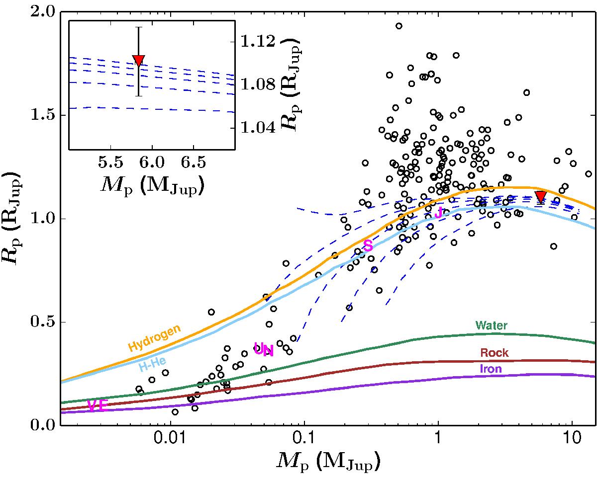
Fig. 2

Radius and masses of the known transiting exoplanets (black empty circles). The position of Kepler-432 b is marked by the red triangle. The Fortney et al. (2007) isochrones for planet core masses of 0, 10, 25, 50, and 100 M⊕ – interpolated to the insolation and age of Kepler-432 b – are overplotted with dashed lines from top to bottom. The upper left inset is a zoom around Kepler-432 b. Also shown are models for planets of different compositions derived by Seager et al. (2007). Solar system planets are marked with magenta letters. We note that Kepler-432 b falls in a region with a lack of planets between ~4.5 and ~7 MJup.
Current usage metrics show cumulative count of Article Views (full-text article views including HTML views, PDF and ePub downloads, according to the available data) and Abstracts Views on Vision4Press platform.
Data correspond to usage on the plateform after 2015. The current usage metrics is available 48-96 hours after online publication and is updated daily on week days.
Initial download of the metrics may take a while.