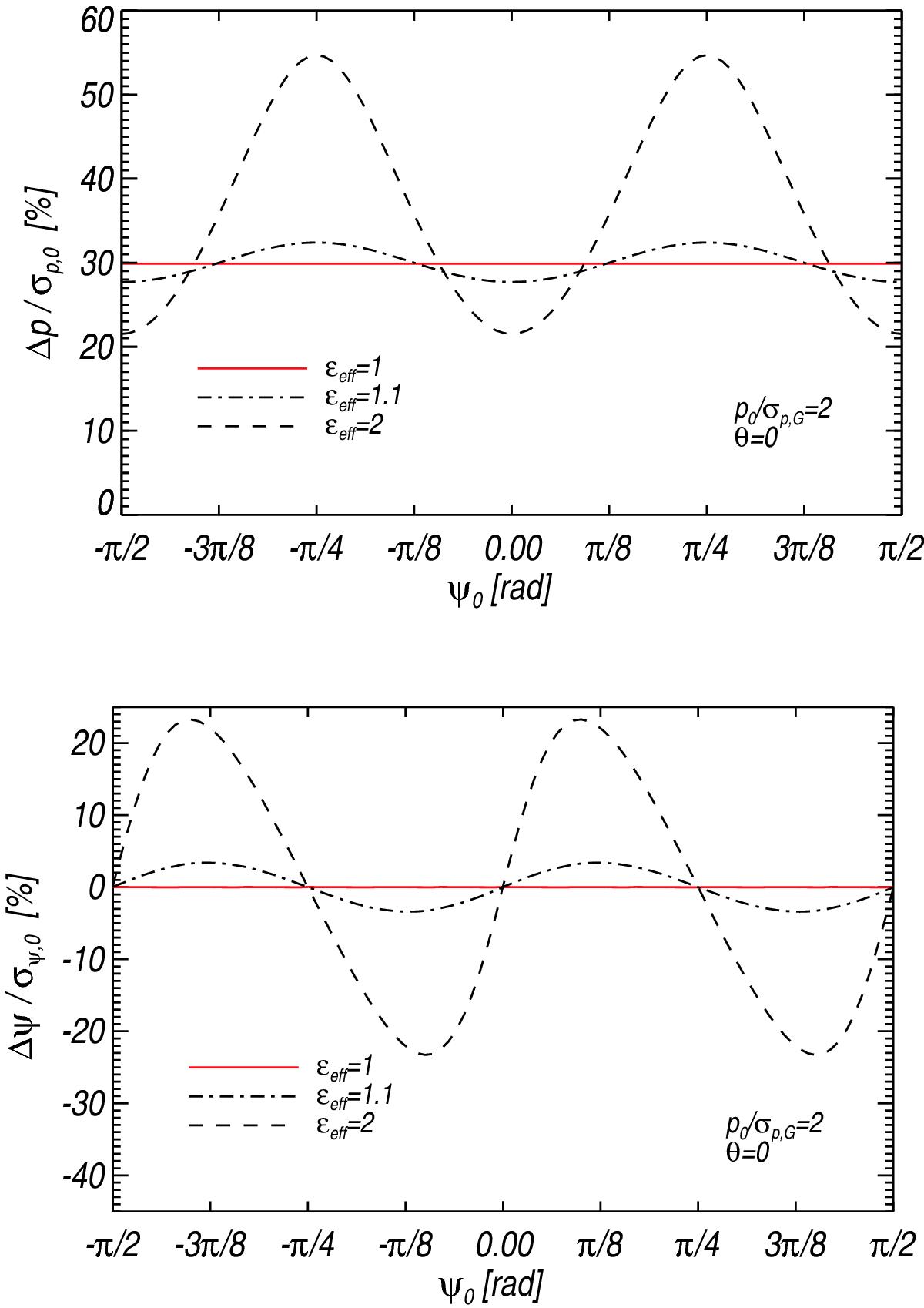
Fig. 2

Impact of the initial true polarization angle ψ0 and of varying effective ellipticity εeff on the relative polarization fraction bias Δp/σp,0 (top) and the relative polarization angle bias Δψ/σψ,0 (bottom). We assume no correlation here, so that θ = 0, and we set the S/N to p0/σp,G = 2. The canonical case (εeff = 1) is shown by the red line.
Current usage metrics show cumulative count of Article Views (full-text article views including HTML views, PDF and ePub downloads, according to the available data) and Abstracts Views on Vision4Press platform.
Data correspond to usage on the plateform after 2015. The current usage metrics is available 48-96 hours after online publication and is updated daily on week days.
Initial download of the metrics may take a while.