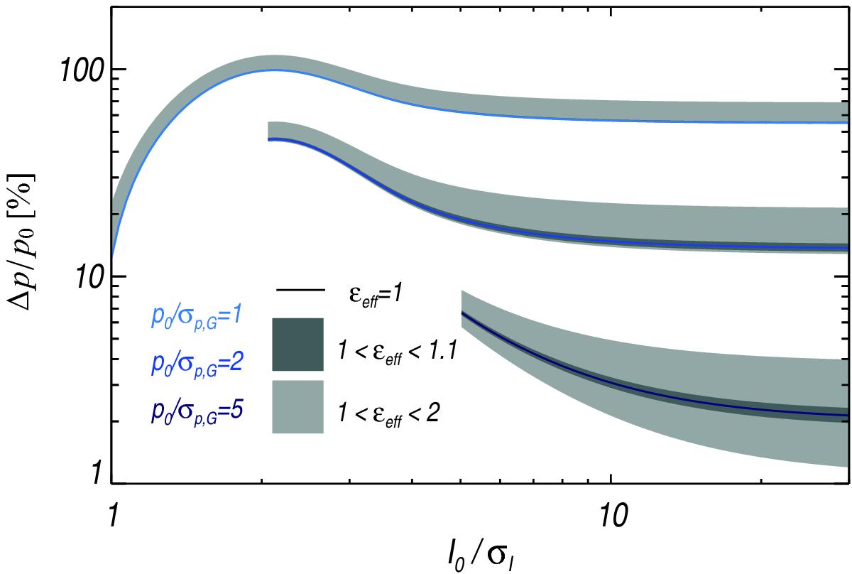
Fig. 4

Polarization fraction bias, normalized to the true value p0, as a function of the S/N I0/σI, plotted for three values of the polarization S/N, p0/σp,G, and values of the effective ellipticity εeff covering the canonical (full line), low (dark grey shaded region), and extreme (light grey shaded region) regimes of the covariance matrix. The intensity correlation coefficients are set to ρQ = ρU = 0. We only consider the domain where (I0/σI) > (p0/σp,G).
Current usage metrics show cumulative count of Article Views (full-text article views including HTML views, PDF and ePub downloads, according to the available data) and Abstracts Views on Vision4Press platform.
Data correspond to usage on the plateform after 2015. The current usage metrics is available 48-96 hours after online publication and is updated daily on week days.
Initial download of the metrics may take a while.