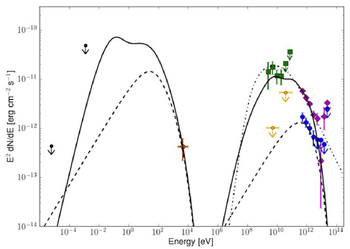
Fig. 7

Spectral energy distribution (SED) for three different assumptions about the nature of the source. Solid line: The association between a single TeV source (violet diamonds) and the GeV source (green squares) has been assumed. A leptonic scenario has been tested where a low-energy Maxwellian distribution replaces the low-energy part of the electron spectrum. The fitted parameters of this model can be found in Table 3. Dashed line: a simple leptonic model has been tested assuming the TeV point-like source (blue points) is associated with a hypothetical GeV point-like source superimposed on the extended one (yellow upper limits). The blue TeV spectral points have been obtained after normalizing the points computed in the central extracted region (see Sect. 2.2 for details). Dash-dotted line: the hadronic model studied by Li & Chen (2012) has been superimposed to the new data points obtained in this work. The brown X-ray spectral point has been derived from the XMM-Newton spectrum given by Mukherjee et al. (2009), the black radio upper limits from VLA 20 cm (Helfand et al. 2006) and Bolocam 1.1 mm (Aguirre et al. 2011) images.
Current usage metrics show cumulative count of Article Views (full-text article views including HTML views, PDF and ePub downloads, according to the available data) and Abstracts Views on Vision4Press platform.
Data correspond to usage on the plateform after 2015. The current usage metrics is available 48-96 hours after online publication and is updated daily on week days.
Initial download of the metrics may take a while.