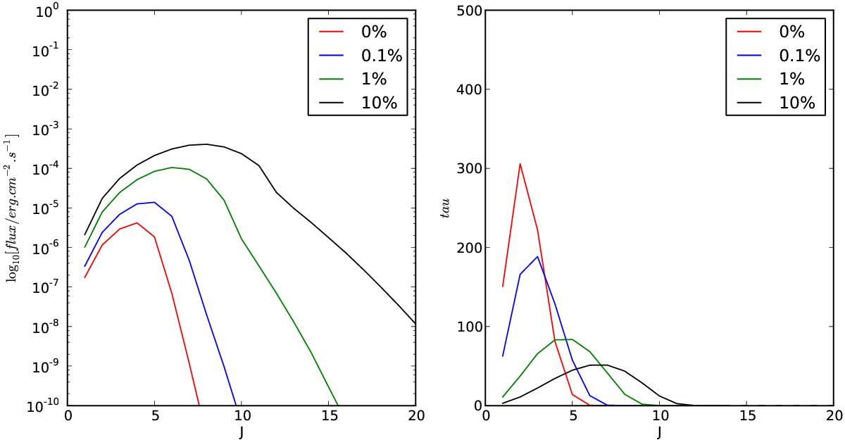
Fig. 6

CO ladders for a PDR model with n = 103 cm-3 and G0 = 103 for different values of mechanical heating. The numbers in the legend correspond to Γmech in terms of the surface heating. Left: CO line intensities as a function of the rotational level J. Notice the boost in the intensities is much larger at high-J compared to low-J. Right: optical depth at the line centres (τ0) for the same lines. The optical depth generally decreases as a function of increasing Γmech, but the most significant effect is that the low-J CO lines become optically thinner with τ0 ~ 1.
Current usage metrics show cumulative count of Article Views (full-text article views including HTML views, PDF and ePub downloads, according to the available data) and Abstracts Views on Vision4Press platform.
Data correspond to usage on the plateform after 2015. The current usage metrics is available 48-96 hours after online publication and is updated daily on week days.
Initial download of the metrics may take a while.