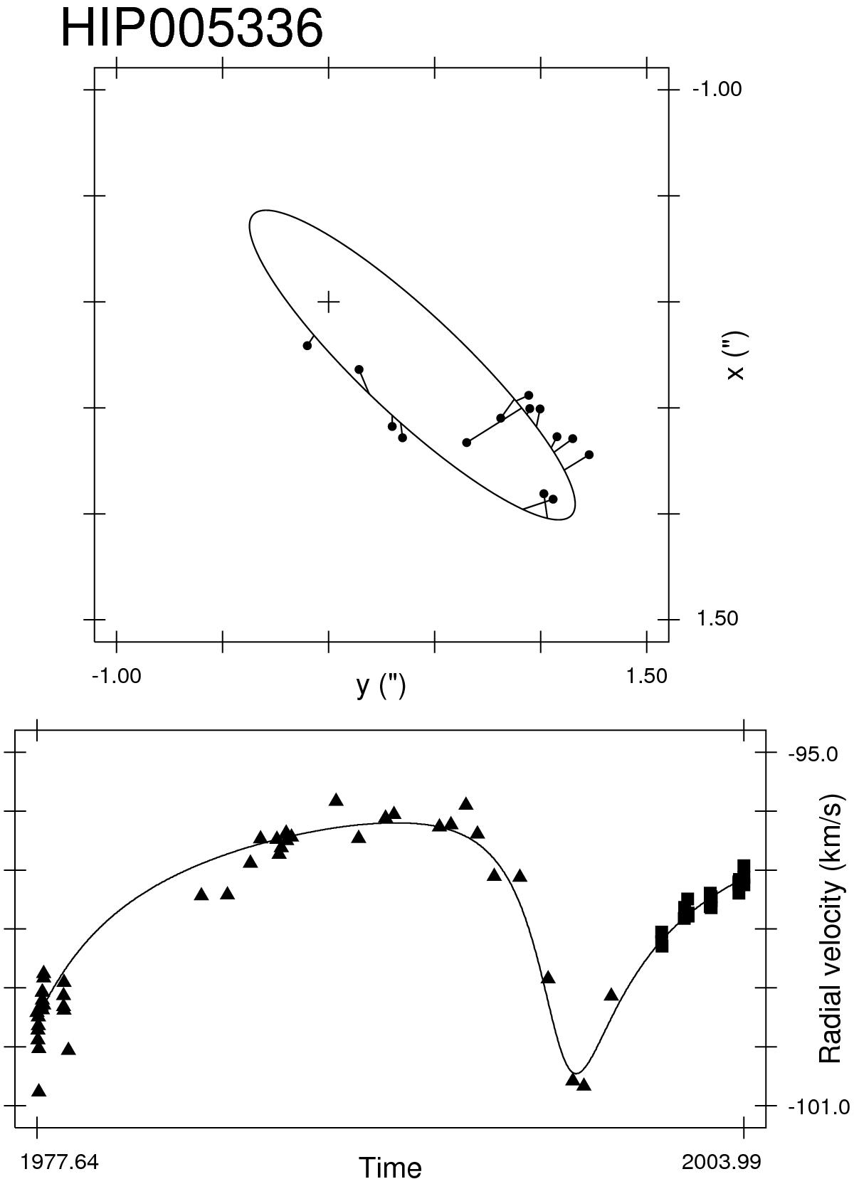
Fig. A.2

Combined astrometric (upper panel) and spectroscopic (lower panel) orbits for WDS 01083+5455Aa,Ab = HIP 5336 = HD 6582 = μ Cas. The solid line in the lower panel corresponds to the predicted velocity curve for A. Triangles are CORAVEL measurements, squares are measurements from Abt & Willmarth (2006). Individual measurements for the visual orbit were taken from the WDS database.
Current usage metrics show cumulative count of Article Views (full-text article views including HTML views, PDF and ePub downloads, according to the available data) and Abstracts Views on Vision4Press platform.
Data correspond to usage on the plateform after 2015. The current usage metrics is available 48-96 hours after online publication and is updated daily on week days.
Initial download of the metrics may take a while.