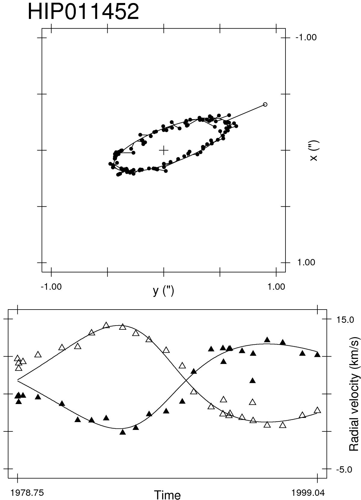
Fig. A.3

Combined astrometric (upper panel) and spectroscopic (lower panel) orbits for WDS 02278+0426AB. In the lower panel, filled and open triangles correspond to CORAVEL velocities for components 1 and 2, respectively. Individual measurements for the visual orbit were taken from the WDS database at USNO.
Current usage metrics show cumulative count of Article Views (full-text article views including HTML views, PDF and ePub downloads, according to the available data) and Abstracts Views on Vision4Press platform.
Data correspond to usage on the plateform after 2015. The current usage metrics is available 48-96 hours after online publication and is updated daily on week days.
Initial download of the metrics may take a while.