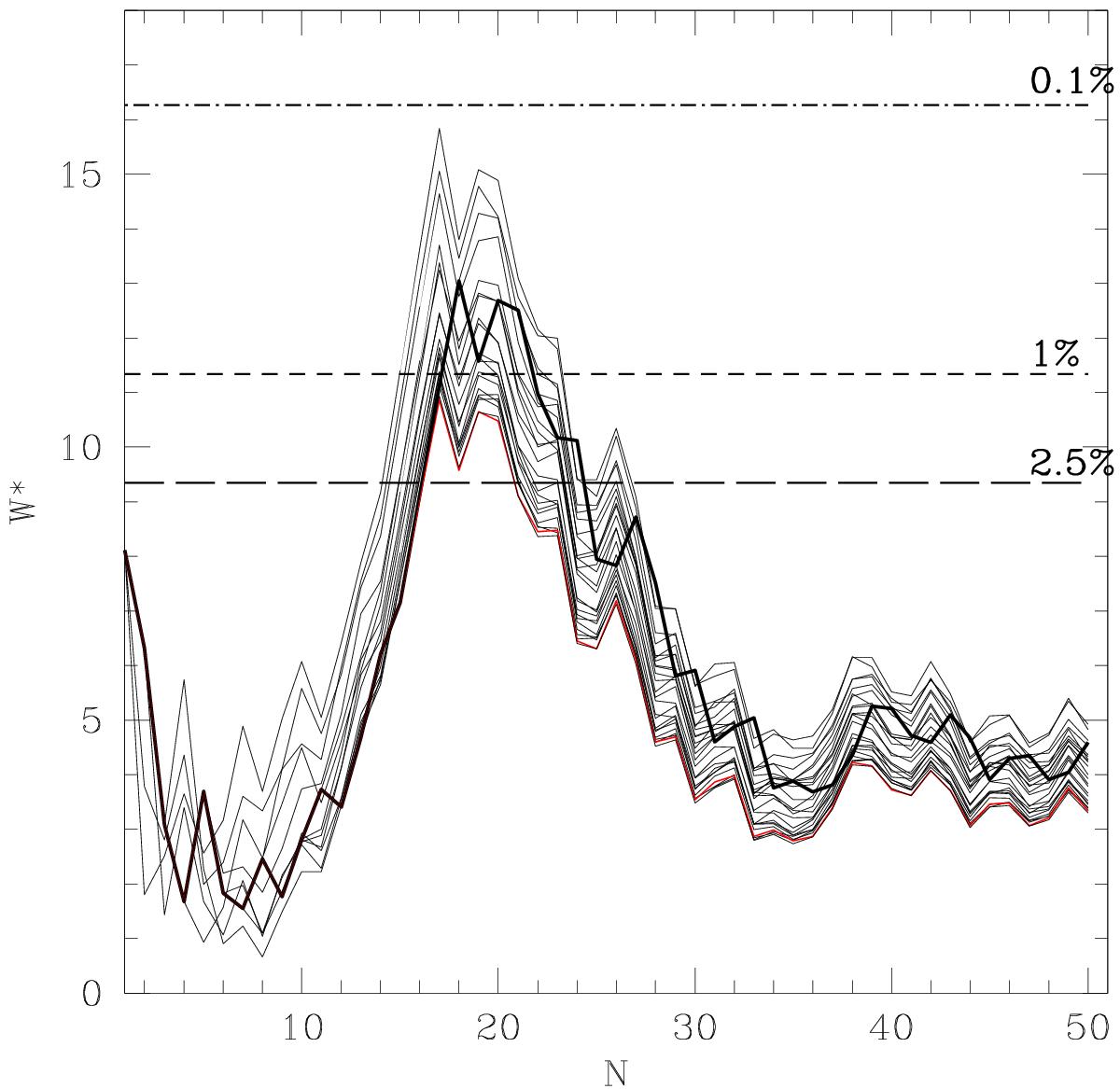
Fig. 4

Evolution of the Rayleigh-Watson
statistics as a function of the number of systems in a jackknife approach. Each
curve thus corresponds to the full sample with one system removed. The thick line
corresponds to the full sample (same as the blue dashed line in the upper panel of
Fig. 3). The lowest thin (red) line corresponds
to the sample with system No. 16 removed (WDS 14514+1906). False-alarm probabilities
of 2.5, 1, and 0.1% are depicted by the dashed horizontal lines.
Current usage metrics show cumulative count of Article Views (full-text article views including HTML views, PDF and ePub downloads, according to the available data) and Abstracts Views on Vision4Press platform.
Data correspond to usage on the plateform after 2015. The current usage metrics is available 48-96 hours after online publication and is updated daily on week days.
Initial download of the metrics may take a while.