Free Access

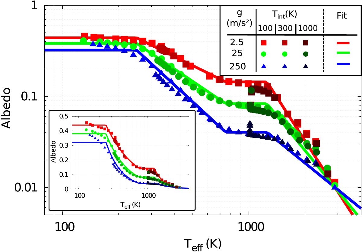
Fig. 13

image

Plane-parallel albedos for solar-composition, clear-sky atmospheres with different values of gravity and internal temperature, numerical model (dots) and analytical fit described in Table 2 (lines). In the inset, the albedo plotted in linear scale. Here we approximate the Bond albedo of the planet by the plane-parallel albedo.

Current usage metrics show cumulative count of Article Views (full-text article views including HTML views, PDF and ePub downloads, according to the available data) and Abstracts Views on Vision4Press platform.

Data correspond to usage on the plateform after 2015. The current usage metrics is available 48-96 hours after online publication and is updated daily on week days.

Initial download of the metrics may take a while.