Free Access

Fig. 2

image

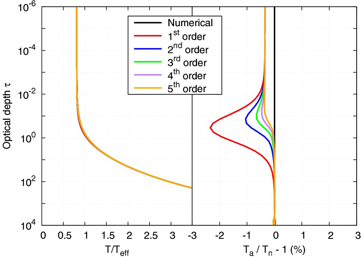
Radiative numerical temperature profile in units of effective temperature as a function of optical depth compared to the analytical solution from Chandrasekhar (1960) using the discrete ordinate in the first, second, third, fourth and fifth approximation. The left panel shows the profiles whereas the right panel shows their relative difference (Ta/Tn − 1 where Ta is the analytical solution and Tn is the numerical solution).

Current usage metrics show cumulative count of Article Views (full-text article views including HTML views, PDF and ePub downloads, according to the available data) and Abstracts Views on Vision4Press platform.

Data correspond to usage on the plateform after 2015. The current usage metrics is available 48-96 hours after online publication and is updated daily on week days.

Initial download of the metrics may take a while.