Open Access
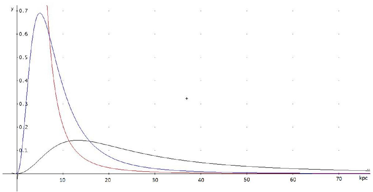
Fig. 7

Tides of Galaxy components (Eq. (19)): from bulge (red), disk (blue), DM halo (dark), vs. distance from the Galactic center (in kpc). Bulge dominates until about 7 kpc, disk in about the range: 7–15, DM halo over 15 kpc. An amplification factor of 103 has been used on the y-axis.
Current usage metrics show cumulative count of Article Views (full-text article views including HTML views, PDF and ePub downloads, according to the available data) and Abstracts Views on Vision4Press platform.
Data correspond to usage on the plateform after 2015. The current usage metrics is available 48-96 hours after online publication and is updated daily on week days.
Initial download of the metrics may take a while.