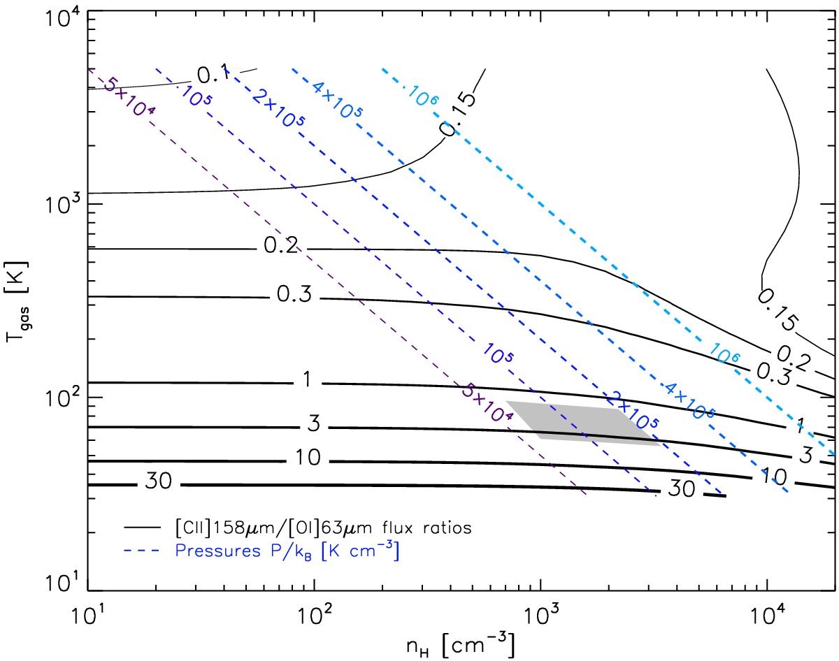
Fig. 7

Collisional calculation of the ratio of the [Cii]λ 158 μm to [Oi]λ 63 μm line intensity ratio in the temperature versus density plane. The dashed lines indicate constant values of the gas thermal pressure. The observed [Cii] to [Oi]63 μm ratio in 3C 326N [Cii]/[Oi] (see text for details). For the pressures inferred in Fig. 6 and the constraint on the observed [Cii] to [Oi]63 μm ratio, the ranges of gas densities and temperatures compatible with the observations are 7 × 102<nH< 3 × 103 cm-3 and 70 <T< 100 K respectively. The grey parallelogram gives the observational constraints from Fig. 6 and the [Cii]/[Oi] ratio.
Current usage metrics show cumulative count of Article Views (full-text article views including HTML views, PDF and ePub downloads, according to the available data) and Abstracts Views on Vision4Press platform.
Data correspond to usage on the plateform after 2015. The current usage metrics is available 48-96 hours after online publication and is updated daily on week days.
Initial download of the metrics may take a while.