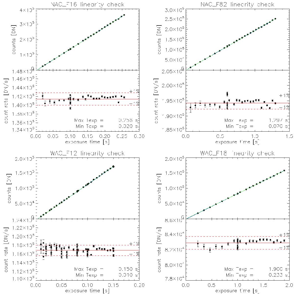
Fig. 5

Linearity measurements obtained by the Vega observations in terms of DN or DN/s vs exposure time. For each filter, the upper panels show counts vs. exposure time in the particular filter, the lower panels show the count rate vs. the exposure time. The investigation was made with the following filters: a) NAC-F16 (FFP-UV_Near-UV); b) NAC-F82 (Neutral_Orange); c) WAC-F12 (Red); and d) WAC-F18 (Vis610).
Current usage metrics show cumulative count of Article Views (full-text article views including HTML views, PDF and ePub downloads, according to the available data) and Abstracts Views on Vision4Press platform.
Data correspond to usage on the plateform after 2015. The current usage metrics is available 48-96 hours after online publication and is updated daily on week days.
Initial download of the metrics may take a while.