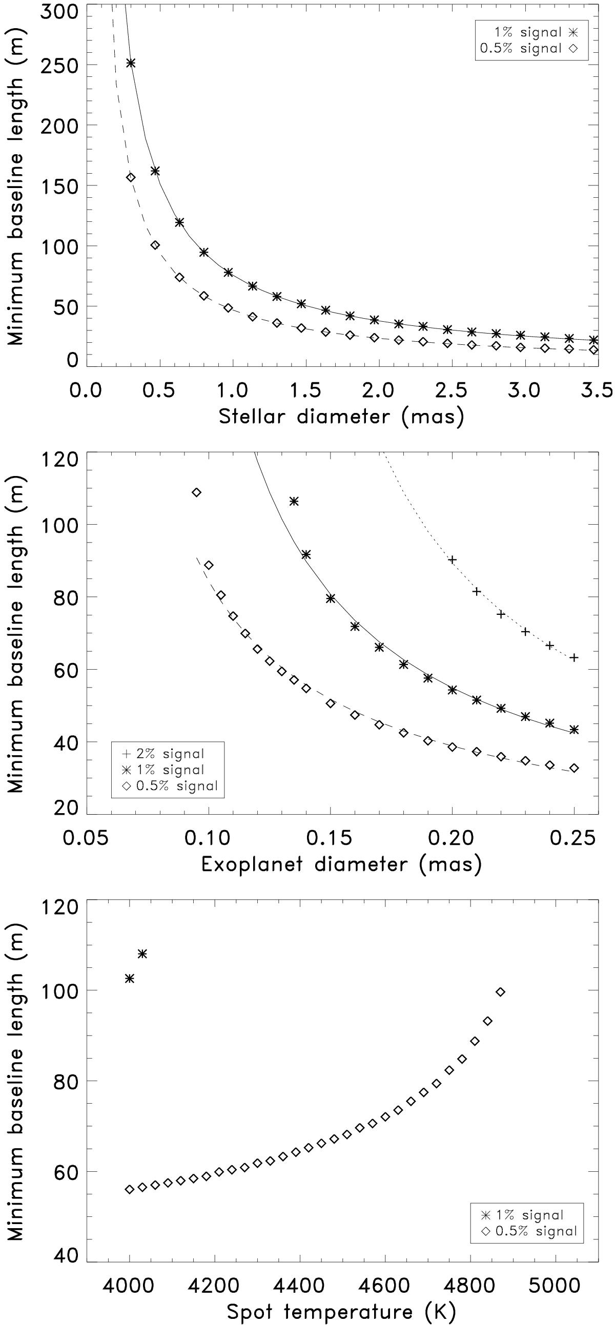
Fig. 1

Squared visibilities. The MBL is calculated for variations of 2%, 1%, and 0.5% (crosses, asterisks, and diamonds, respectively) as a function of three parameters. Top: stellar diameter with θp/θ⋆ = 0.15 and (αp = 0.2θ⋆,δp = 0) mas. Middle: exoplanet diameter with θ⋆ = 1 mas and (αp = 0.2,δp = 0.0) mas. Bottom: spot temperature for θs = 0.15 mas and (αs = 0.2,δs = 0.0) mas. The curves in the upper panel correspond to the analytical formula (see text). The curves in the middle panel correspond to the fit of Eq. (7).
Current usage metrics show cumulative count of Article Views (full-text article views including HTML views, PDF and ePub downloads, according to the available data) and Abstracts Views on Vision4Press platform.
Data correspond to usage on the plateform after 2015. The current usage metrics is available 48-96 hours after online publication and is updated daily on week days.
Initial download of the metrics may take a while.