Free Access
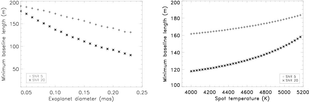
Fig. 3

Variations of the MBL considering the relative errors on squared visibilities according to the exoplanet diameter (top) and the spot temperature (bottom). We consider an S/N of 5 (crosses) and 20 (asterisks) and the same fixed parameters as in Fig. 1.
This figure is made of several images, please see below:
Current usage metrics show cumulative count of Article Views (full-text article views including HTML views, PDF and ePub downloads, according to the available data) and Abstracts Views on Vision4Press platform.
Data correspond to usage on the plateform after 2015. The current usage metrics is available 48-96 hours after online publication and is updated daily on week days.
Initial download of the metrics may take a while.