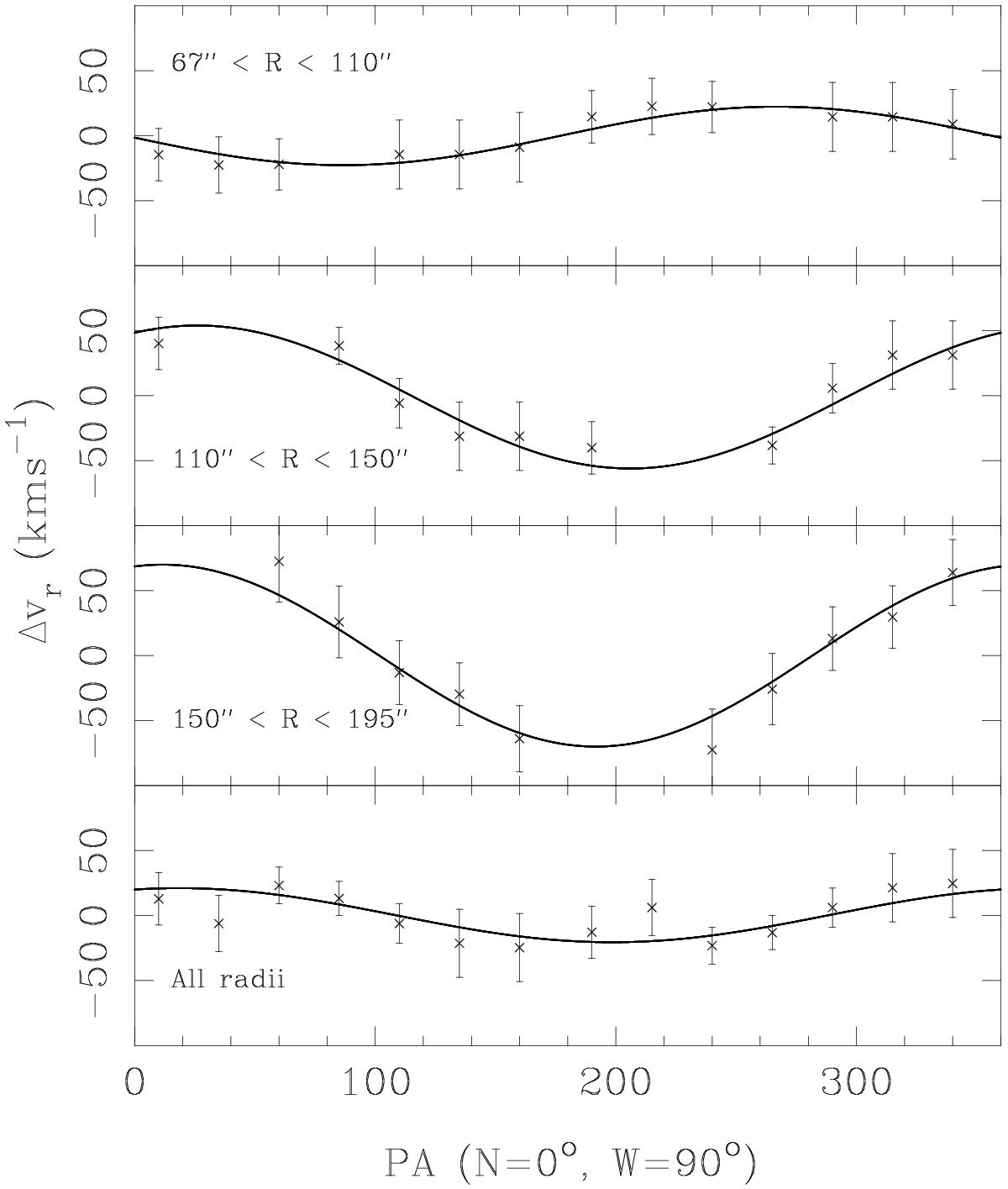
Fig. 3

Rotational velocity versus position angle of the halo of NGC 7507 in three radial bins, shown in each panel, as per the methodology described in the text. The error bars represent the RMS errors for each PA. The best fit sine curve is overplotted. Note that the Δvr values calculated by the method described in the text are twice the actual rotational velocity. We have taken this into account so that the values shown here represent the actual rotational velocity at each PA.
Current usage metrics show cumulative count of Article Views (full-text article views including HTML views, PDF and ePub downloads, according to the available data) and Abstracts Views on Vision4Press platform.
Data correspond to usage on the plateform after 2015. The current usage metrics is available 48-96 hours after online publication and is updated daily on week days.
Initial download of the metrics may take a while.