Free Access

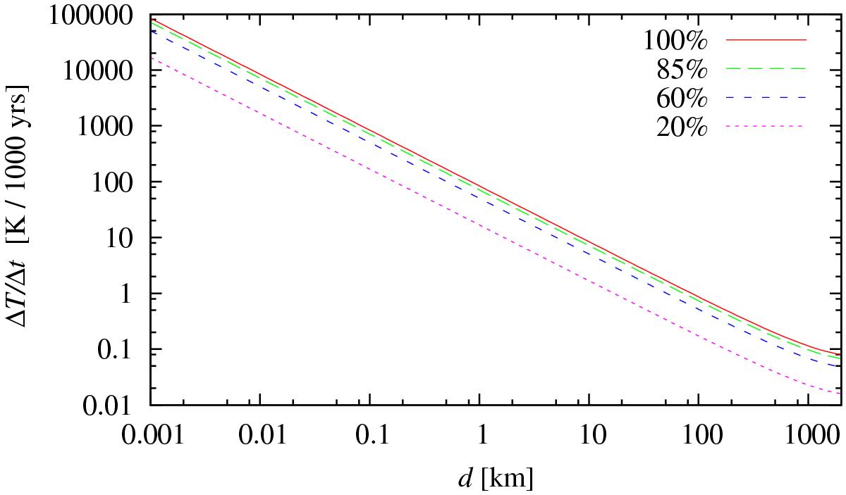
Fig. 7

image

First approximation to the contribution to temperature increase ΔT per 1000 years from inner energy deposited into the planetary surface for different conversion efficiencies Ei/E from 20% to 100%. It is assumed that heat propagation only takes place in a layer of thickness d; cooling is neglected.

Current usage metrics show cumulative count of Article Views (full-text article views including HTML views, PDF and ePub downloads, according to the available data) and Abstracts Views on Vision4Press platform.

Data correspond to usage on the plateform after 2015. The current usage metrics is available 48-96 hours after online publication and is updated daily on week days.

Initial download of the metrics may take a while.