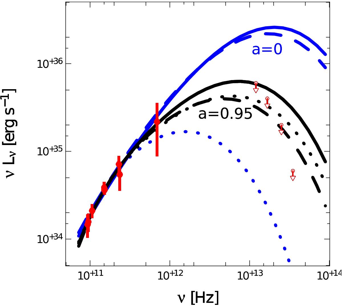
Fig. 3

Best-fitting spectra obtained for the parameters listed in Table 2. Blue curves are for spin 0, black for spin 0.95. Solid line is for i = 5°, dashed for i = 45°, and dotted for i = 85°. Note that the fitting is done only on the millimeter error bars. The infrared upper limits are given for completeness, but are not taken into account in the fit.
Current usage metrics show cumulative count of Article Views (full-text article views including HTML views, PDF and ePub downloads, according to the available data) and Abstracts Views on Vision4Press platform.
Data correspond to usage on the plateform after 2015. The current usage metrics is available 48-96 hours after online publication and is updated daily on week days.
Initial download of the metrics may take a while.