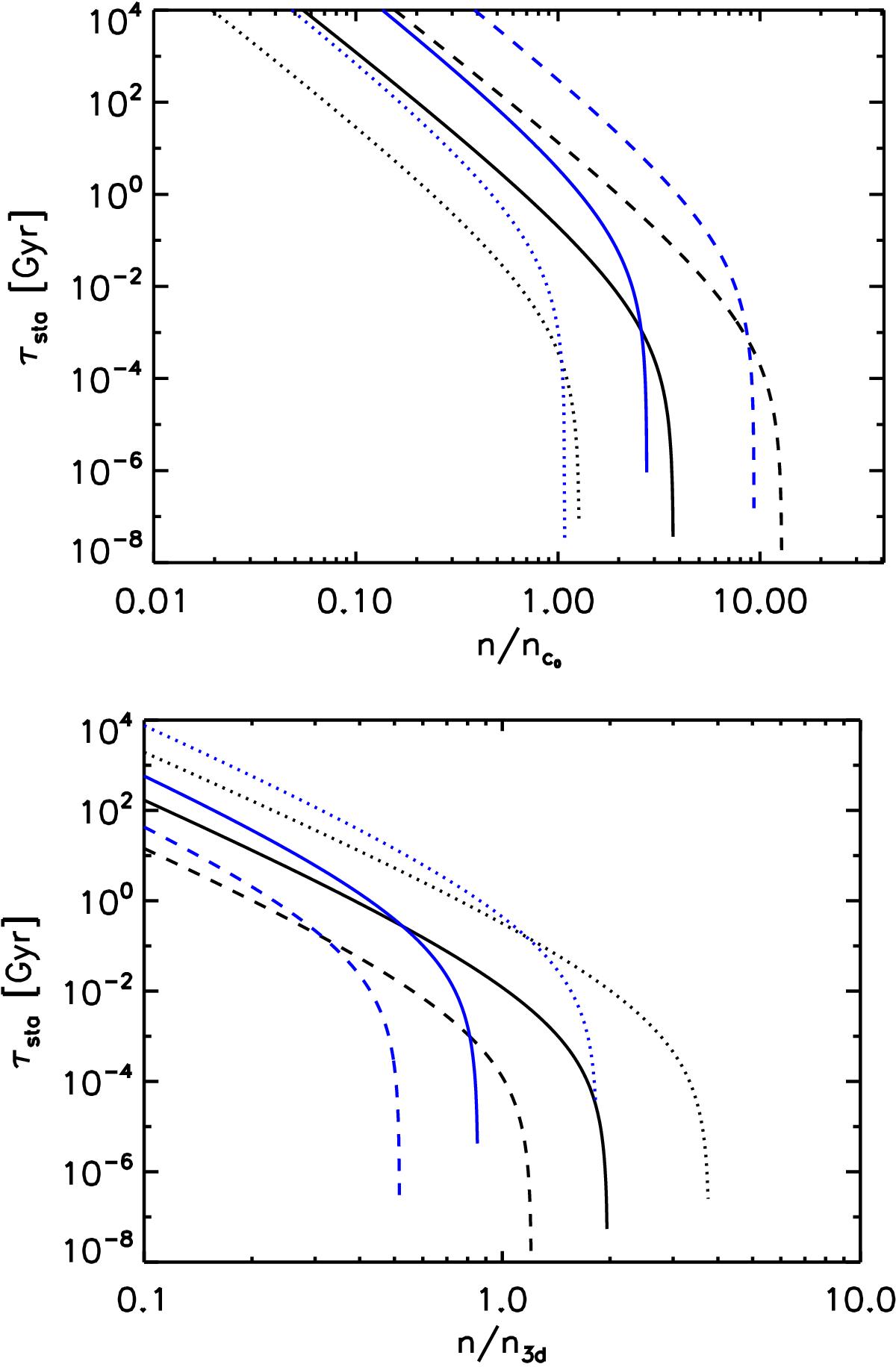
Fig. 6

Top: estimates of the maximum possible duration of the stationary state τsta as a function of the orbital mean motion in units of the critical mean motion nc0. The computations were done for a G-type star (black) or F-type star (blue) and planetary masses of 0.1 (dashed), 1 (solid), and 10 (dotted) Jupiter masses. We used Q′ = 107 for both G- and F-type stars, while the magnetic braking coefficient αmb is reduced by a factor of ten for F-type stars (see text). Bottom: the same, but the orbital mean motion is in units of n3d = 2π/ (3 days), hence independent of planetary and stellar mass.
Current usage metrics show cumulative count of Article Views (full-text article views including HTML views, PDF and ePub downloads, according to the available data) and Abstracts Views on Vision4Press platform.
Data correspond to usage on the plateform after 2015. The current usage metrics is available 48-96 hours after online publication and is updated daily on week days.
Initial download of the metrics may take a while.