Free Access

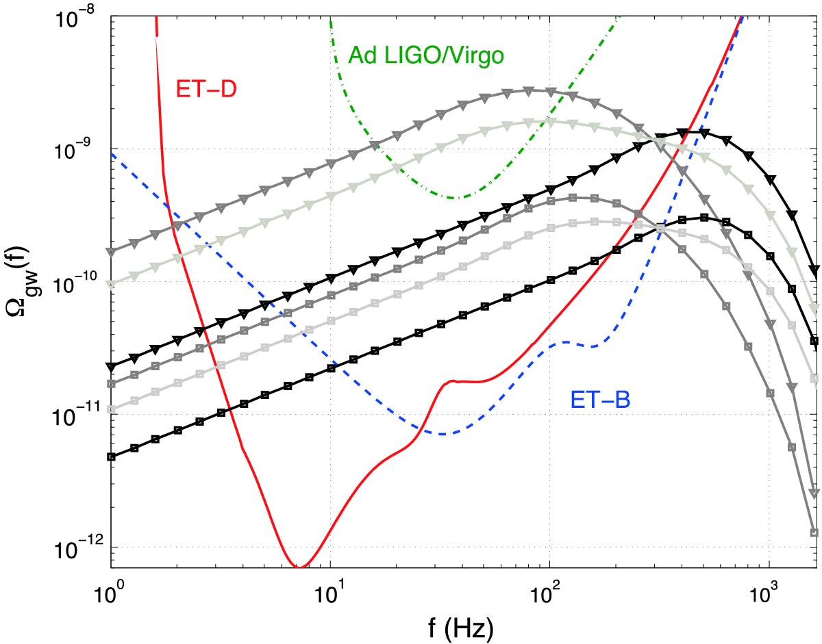
Fig. 4

image

Energy density parameter of the background produced by the coalescence of compact binaries for the different values of the metallicity and for the different models considered in this paper: AZ (black continuous line with triangle symbol), BZ (black continuous line with square symbol), Az (gray continuous line with triangle symbol), Bz (gray continuous line with square symbol), A (light-gray continuous line with triangle symbol), and B (light-gray continuous line with square symbol). Black lines correspond to high (solar) metallicity, gray lines to low metallicity, and light-gray to populations with mixed metallicity. The sensitivity of ET-B, ET-D and advanced LIGO/Virgo are also shown for comparison purposes.

Current usage metrics show cumulative count of Article Views (full-text article views including HTML views, PDF and ePub downloads, according to the available data) and Abstracts Views on Vision4Press platform.

Data correspond to usage on the plateform after 2015. The current usage metrics is available 48-96 hours after online publication and is updated daily on week days.

Initial download of the metrics may take a while.