Free Access

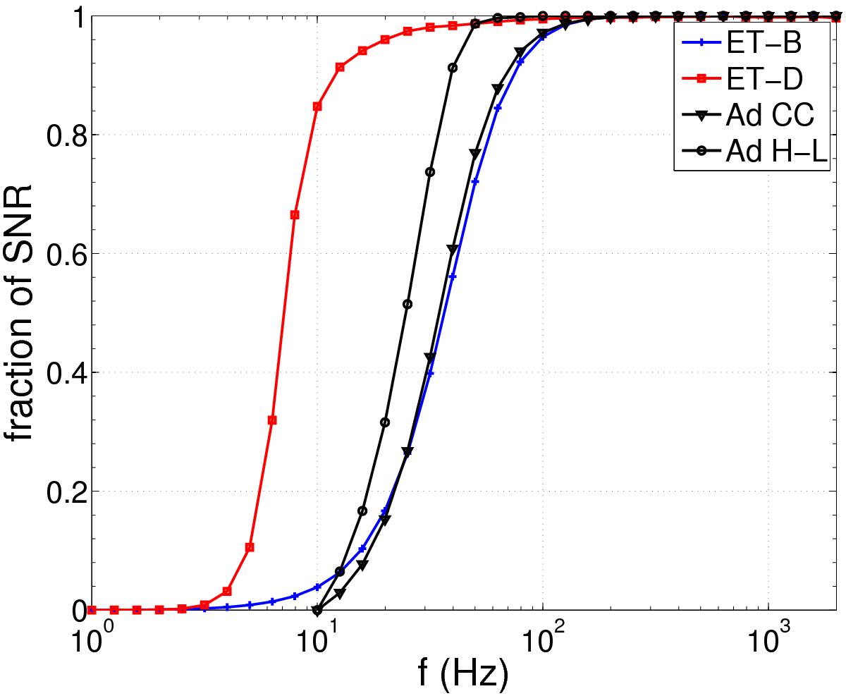
Fig. 5

image

Contribution to the S/N of frequencies <f for co-aligned and co-located advanced detectors, separated advanced detectors (the LIGO Hanford/Livingston pair), and the third-generation Einstein Telescope (ET-B and ET-D).

Current usage metrics show cumulative count of Article Views (full-text article views including HTML views, PDF and ePub downloads, according to the available data) and Abstracts Views on Vision4Press platform.

Data correspond to usage on the plateform after 2015. The current usage metrics is available 48-96 hours after online publication and is updated daily on week days.

Initial download of the metrics may take a while.