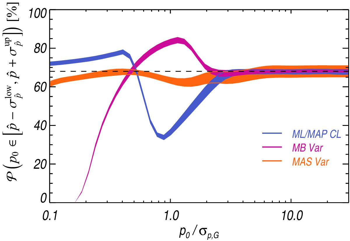
Fig. 11

Probability of finding the true polarization fraction p0 inside the interval , where
and
are the lower and upper limits of each estimator: credible intervals ML/MAP (blue), a posteriori variance MB (pink), and MAS variance (orange). It is plotted as a function of the S/N p0/σp,G. 10 000 Monte-Carlo simulations for each setup of the S/N have been performed assuming a covariance matrix in the low regime. The Gaussian level at 68% is shown as a dashed line.
Current usage metrics show cumulative count of Article Views (full-text article views including HTML views, PDF and ePub downloads, according to the available data) and Abstracts Views on Vision4Press platform.
Data correspond to usage on the plateform after 2015. The current usage metrics is available 48-96 hours after online publication and is updated daily on week days.
Initial download of the metrics may take a while.