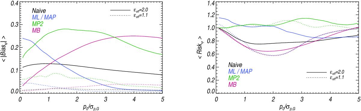
Fig. 15

Statistical relative | Biasψ | (left-hand panel) and Riskψ (right-hand panel) averaged over ψ0 between − π/ 2 and π/ 2, as a function of the S/N on p0/σp,G, for the four estimators: naïve (black), ML / MAP (blue), MP2 (green), and MB (pink). We consider two set-ups of the covariance matrix here: εeff = 2 (solid line) and and εeff = 1.1 (dotted line). 1000 Monte Carlo realizations are performed for each S/N, and for each one of the 100 values of the polarization angle used in the average.
Current usage metrics show cumulative count of Article Views (full-text article views including HTML views, PDF and ePub downloads, according to the available data) and Abstracts Views on Vision4Press platform.
Data correspond to usage on the plateform after 2015. The current usage metrics is available 48-96 hours after online publication and is updated daily on week days.
Initial download of the metrics may take a while.