Free Access
Fig. 16

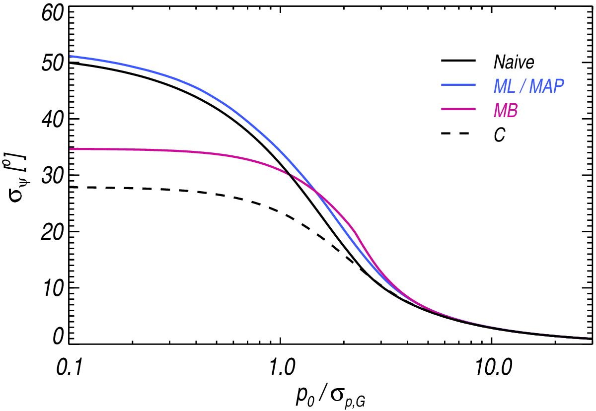
Average polarization angle uncertainty as a function of the S/N in the canonical case and computed over 1000 Monte-Carlo simulations for each value of the S/N: true uncertainty σψ,0 (black), conventional estimate σψ,C (C, dashed dark), ML (blue), and MB
(pink) estimators. The covariance matrix is assumed to be canonical.
Current usage metrics show cumulative count of Article Views (full-text article views including HTML views, PDF and ePub downloads, according to the available data) and Abstracts Views on Vision4Press platform.
Data correspond to usage on the plateform after 2015. The current usage metrics is available 48-96 hours after online publication and is updated daily on week days.
Initial download of the metrics may take a while.