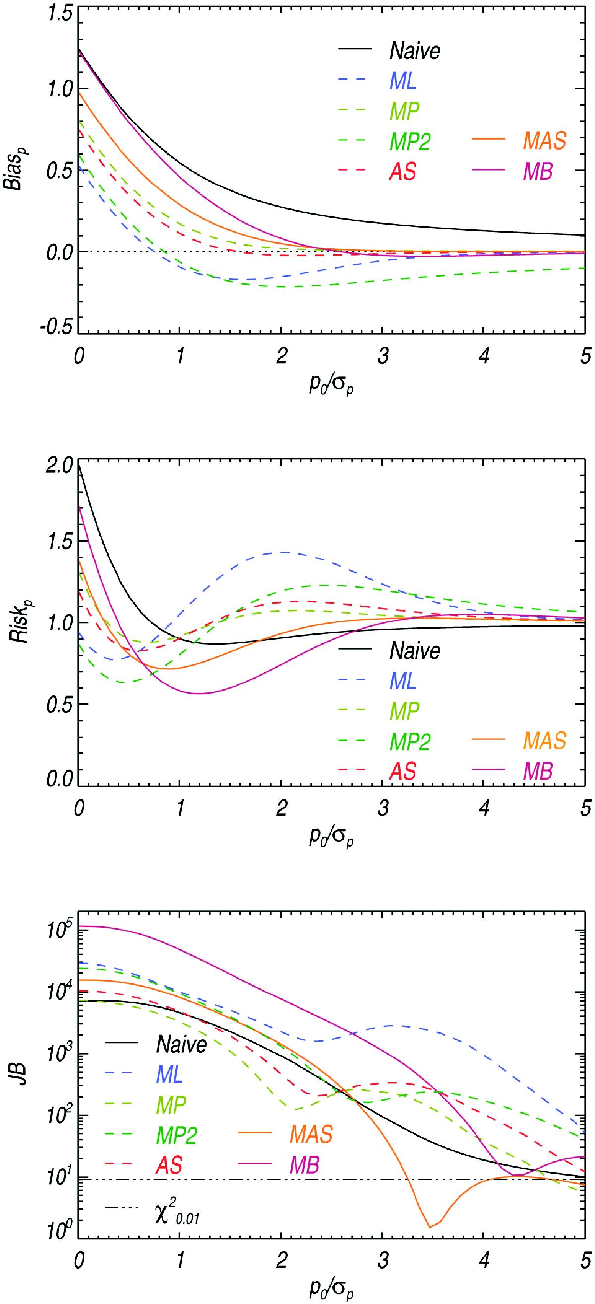
Fig. 3

Comparison of the average relative bias (top), risk function (middle) and Jarque-Bera test (bottom) of the pure measurements (naïve, black), ML (dashed blue), MP (dashed light green), MP2 (dashed green), AS (dashed red), MAS (orange) and MB (pink) estimators in the canonical case, as a function of the S/N p0/σp. The dashed lines stand for the discontinuous estimators presenting a peak of their output distribution at
. Based on 100 000 Monte Carlo simulations. The limit
for α = 1% is shown in dot-dot-dot-dashed line.
Current usage metrics show cumulative count of Article Views (full-text article views including HTML views, PDF and ePub downloads, according to the available data) and Abstracts Views on Vision4Press platform.
Data correspond to usage on the plateform after 2015. The current usage metrics is available 48-96 hours after online publication and is updated daily on week days.
Initial download of the metrics may take a while.