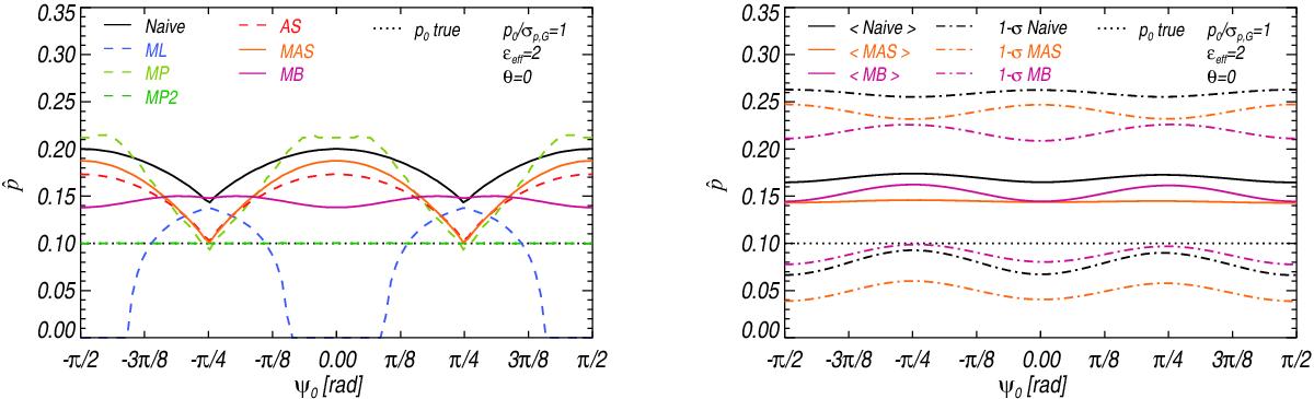
Fig. 9

Illustration of the robustness of the estimators against the unknown ψ0 parameter when the covariance matrix departs from the canonical value. The covariance matrix is set up with εeff = 2 and a S/N p0/σp,G = 1, and a true polarization fraction p0 = 0.1. For each value of ψ0, we first illustrate (in the left-hand panel) the performance of the seven estimators on one particular measurement set to the maximum of the PDF. We focus then on the statistical average estimates
computed over 10 000 Monte-Carlo realizations for each value of the polarization angle for the naïve, MAS, and MB estimators (right-hand panel), where the full lines stand for the mean, and the dot-dashed lines for the 1σ dispersion.
Current usage metrics show cumulative count of Article Views (full-text article views including HTML views, PDF and ePub downloads, according to the available data) and Abstracts Views on Vision4Press platform.
Data correspond to usage on the plateform after 2015. The current usage metrics is available 48-96 hours after online publication and is updated daily on week days.
Initial download of the metrics may take a while.