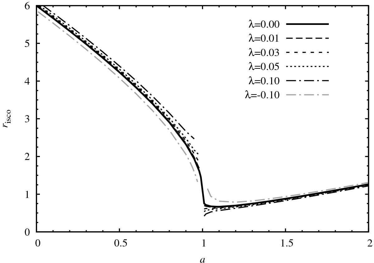
Fig. 1

Radii (in gravitational radii, rg = GM/c2) of the innermost stable circular orbit, risco, as a function of the spin parameter, a. The black thick line corresponds to the non-magnetised case (which, at first order in λ, remains unchanged for the uniform magnetic field case). Dashed lines correspond to first-order correction to risco for the dipolar magnetic field configuration for different values of λ (see the legend).
Current usage metrics show cumulative count of Article Views (full-text article views including HTML views, PDF and ePub downloads, according to the available data) and Abstracts Views on Vision4Press platform.
Data correspond to usage on the plateform after 2015. The current usage metrics is available 48-96 hours after online publication and is updated daily on week days.
Initial download of the metrics may take a while.